| Обозначение: |  ГОСТ 24705-81 |
| Статус: | заменён |
| Название рус.: | Основные нормы взаимозаменяемости. Резьба метрическая. Основные размеры |
| Название англ.: | Basic norms of interchangeability. Metric screw thread. Basic dimensions |
| Дата актуализации текста: | 06.04.2015 |
| Дата актуализации описания: | 01.12.2024 |
| Дата издания: | 21.08.1981 |
| Дата введения: | 01.01.1982 |
| Дата окончания срока действия: | 01.07.2005 |
| Заменяющий: | ГОСТ 24705-2004 |
| Взамен в части: | ГОСТ 9000-73 в части основных размеров; ГОСТ 9150-59 в части основных размеров |
| Содержит требования: | СТ СЭВ 182-75 |
| Нормативные ссылки: | ГОСТ 8724-81; ГОСТ 9150-81 |
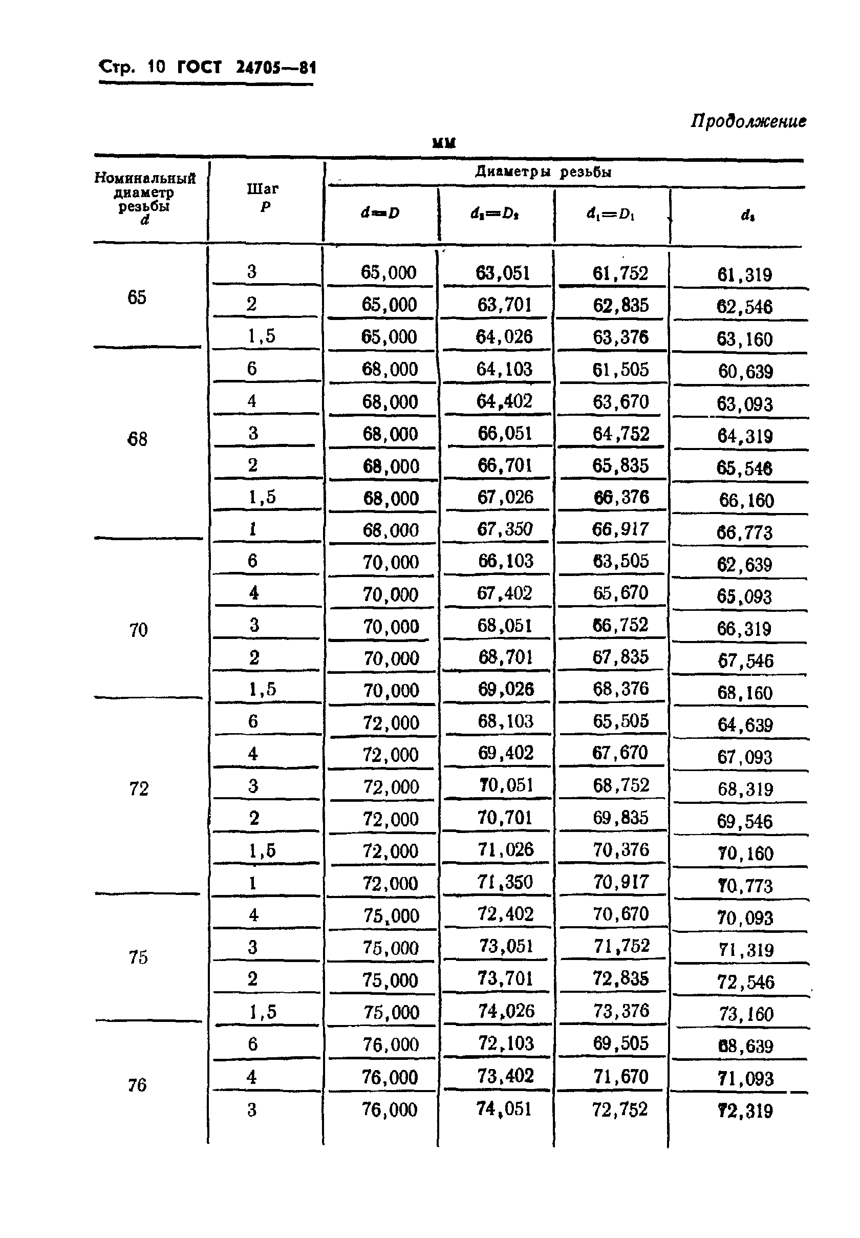
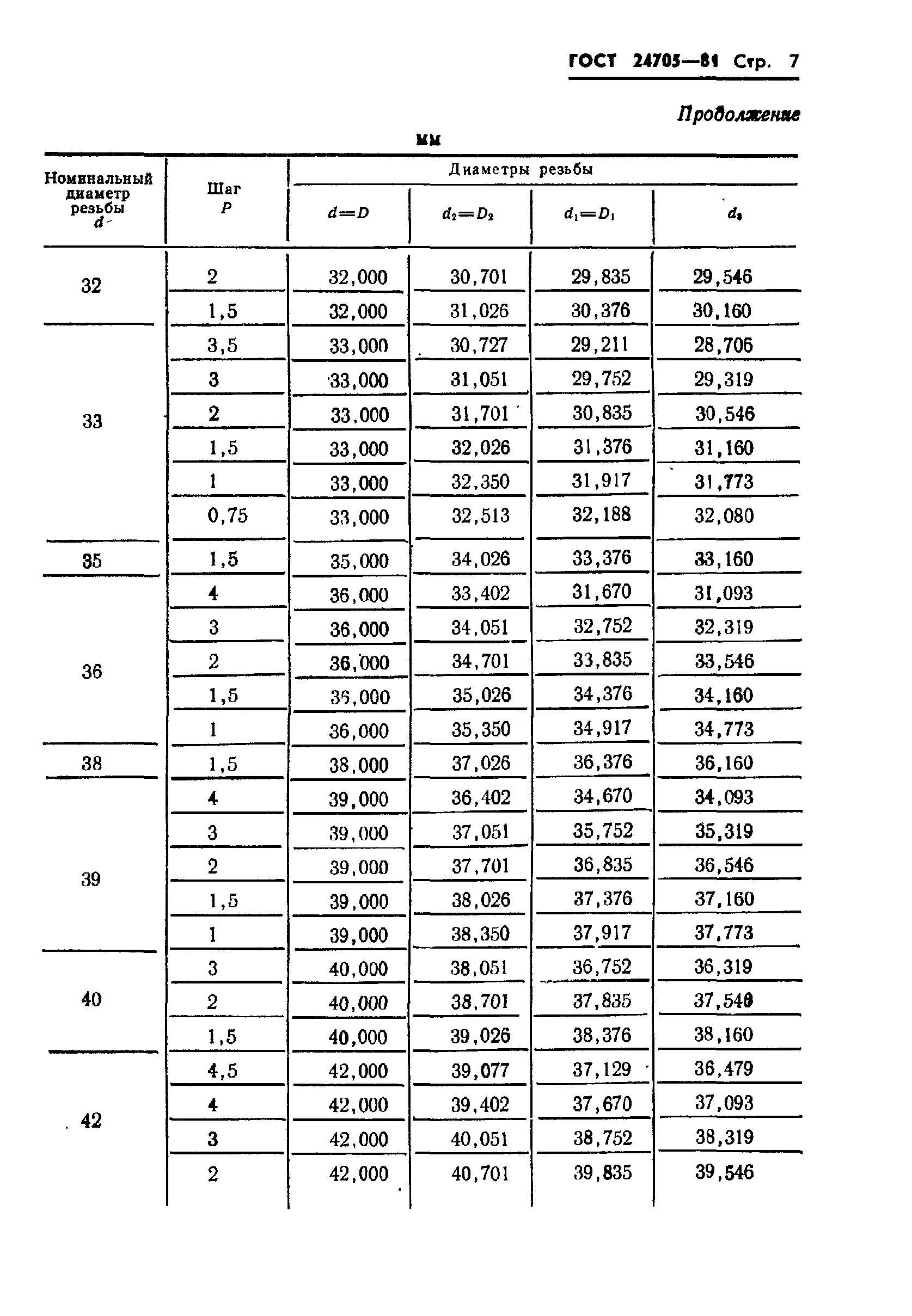
| Область применения: | Настоящий стандарт распространяется на метрические резьбы общего назначения с профилем по ГОСТ 9150-81, диаметрами и шагами по ГОСТ 8724-81 |
|