| Обозначение: |  ГОСТ 19305-73 |
| Статус: | не действует в РФ |
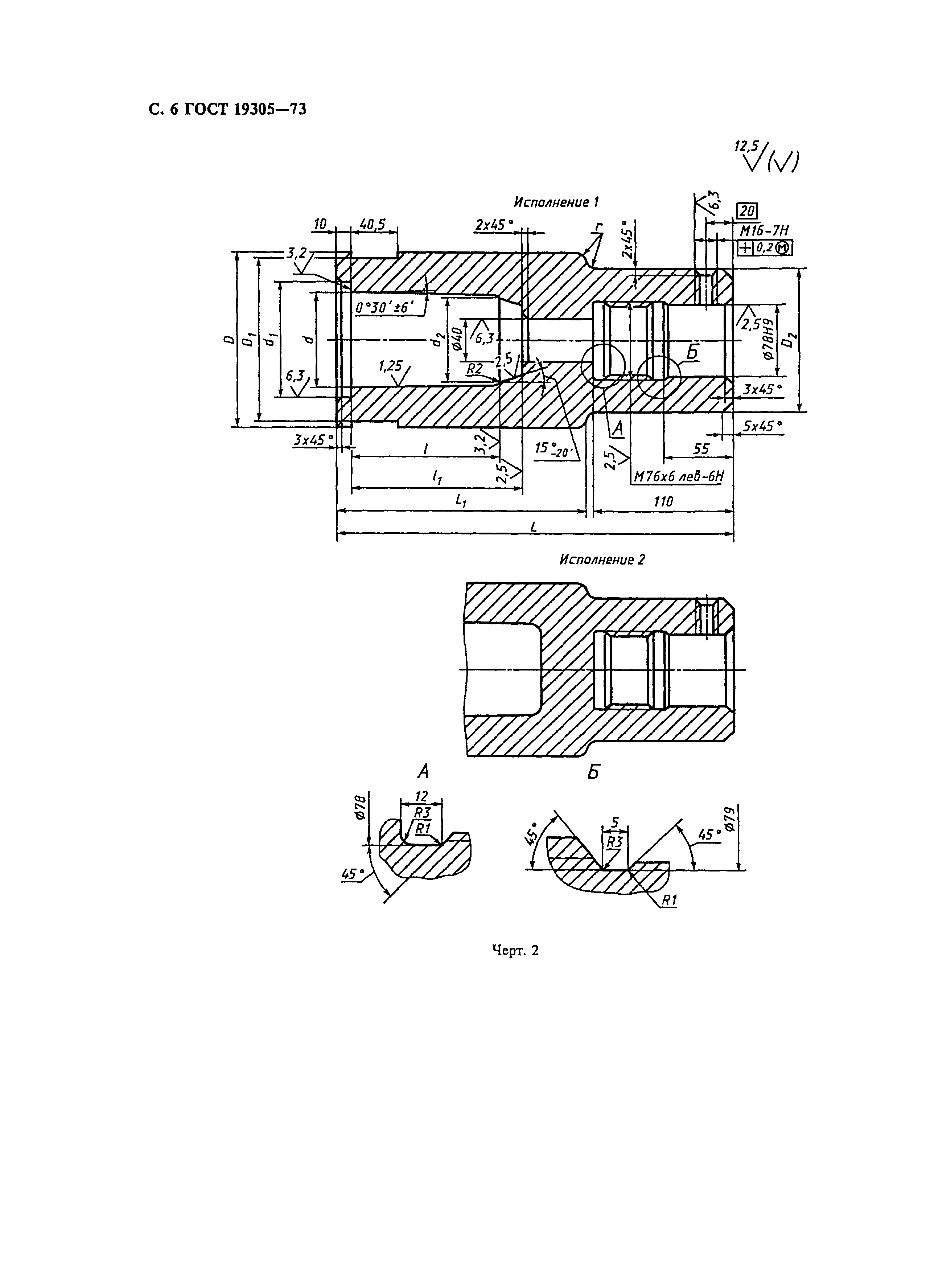
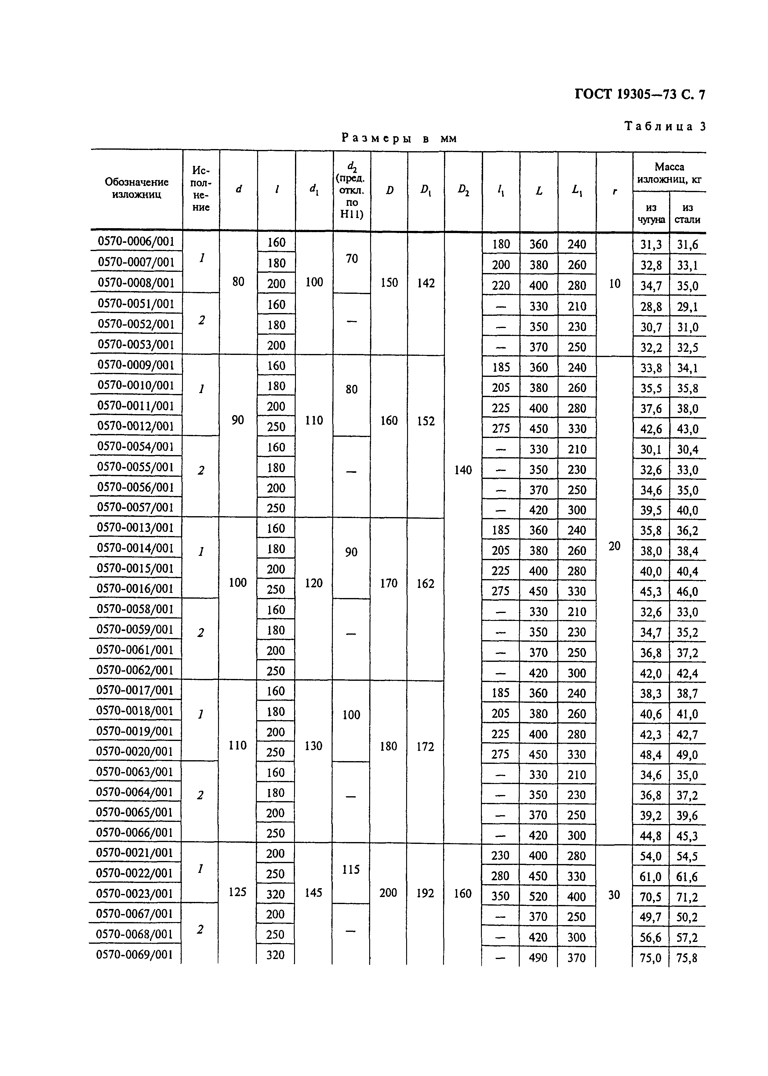
| Название рус.: | Изложницы центробежные с резьбовым хвостовиком и замками-щеколдами. Конструкция и размеры |
| Название англ.: | Centrifugal moulds with threaded shank and latch locks. Construction and dimensions |
| Дата актуализации текста: | 06.04.2015 |
| Дата актуализации описания: | 01.07.2023 |
| Дата издания: | 01.08.2000 |
| Дата введения: | 01.01.1975 |
| Дата окончания срока действия: | 01.01.2000 |
| Код ОКП: | 396660 |
| Взамен: | МН 4186-62 |
| Нормативные ссылки: | ГОСТ 19310-98; ГОСТ 19311-93; ГОСТ 19312-73; ГОСТ 19314-73; ГОСТ 7798-70; ГОСТ 5915-70; ГОСТ 1483-84; ГОСТ 19316-98; ГОСТ 24705-81; ГОСТ 977-88; ГОСТ 1412-85; ГОСТ 7293-85; ГОСТ 16093-81 |
| Область применения: | Настоящий стандарт распространяется на центробежные изложницы с резьбовым хвостовиком и замками-щеколдами для однопозиционных центробежных литьевых машин консольного типа с горизонтальной осью вращения, предназначенные для отливки втулок из стали, чугуна и цветных сплавов |
| Список изменений: | №0 от 01.01.2000 (рег. 23.07.1999) «Поправка к изменению» №1 от 31.03.1982 (рег. 13.10.1981) «Срок действия продлен» |
|