| Обозначение: |  ГОСТ 17310-86 |
| Статус: | заменён |
| Название рус.: | Газы. Пикнометрический метод определения плотности |
| Название англ.: | Gases. Picknometric method for determination of density |
| Дата актуализации текста: | 06.04.2015 |
| Дата актуализации описания: | 01.07.2023 |
| Дата издания: | 05.03.1987 |
| Дата введения: | 01.07.1987 |
| Дата окончания срока действия: | 01.01.2004 |
| Код ОКП: | 027000 |
| Взамен: | ГОСТ 17310-81 |
| Заменяющий: | ГОСТ 17310-2002 |
| Нормативные ссылки: | ГОСТ 215-73; ГОСТ 982-80; ГОСТ 1770-74; ГОСТ 2603-79; ГОСТ 3164-78; ГОСТ 4161-77; ГОСТ 4204-77; ГОСТ 4220-75; ГОСТ 5556-81; ГОСТ 6709-72; ГОСТ 9433-80; ГОСТ 18300-72; ГОСТ 18917-82; ГОСТ 22524-77; ГОСТ 24104-80; ГОСТ 25336-82 |
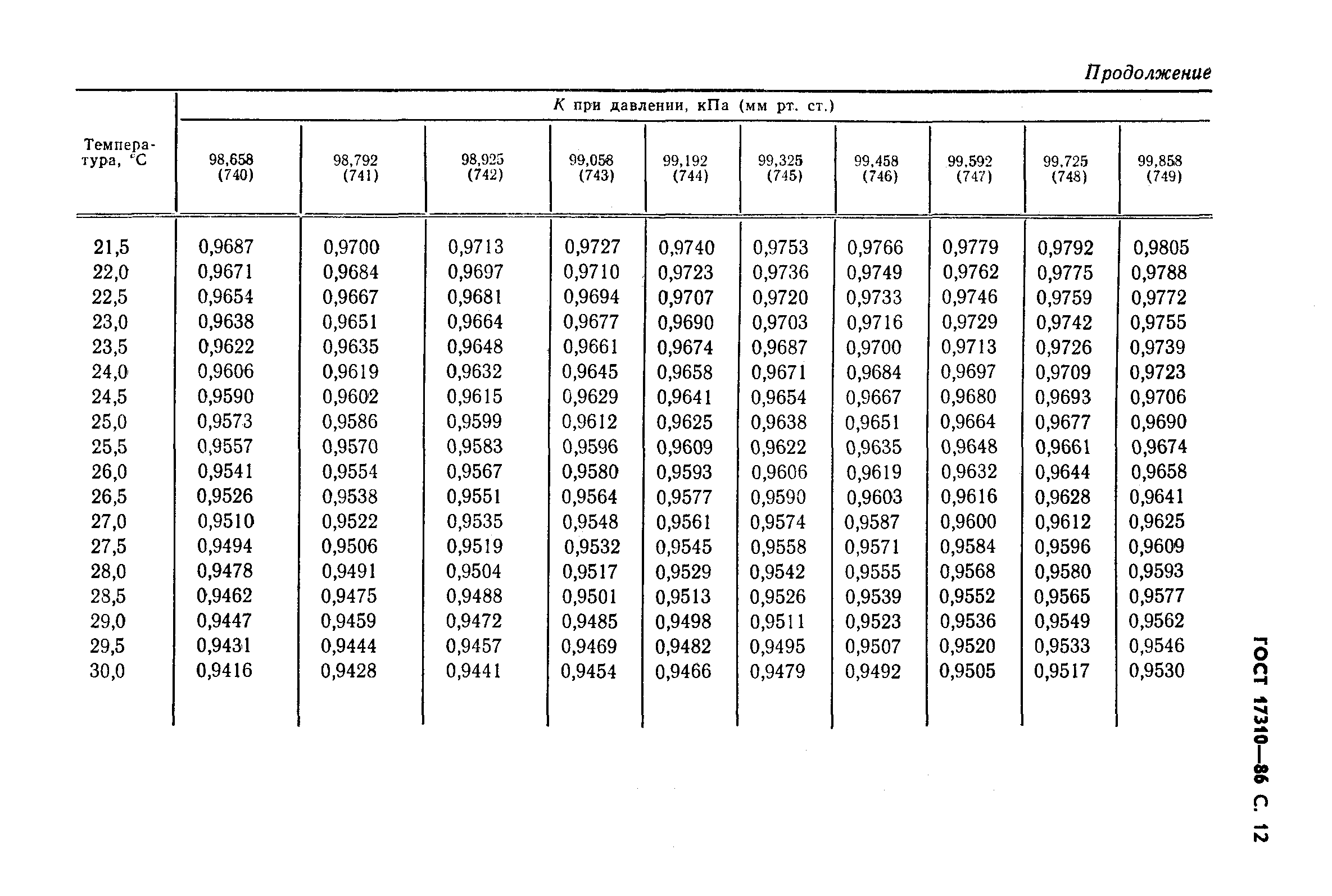
| Область применения: | Настоящий стандарт устанавливает пикнометрический метод определения плотности (р) и относительной плотности (d) газов. Стандарт распространяется на газы и газовые смеси, которые в условиях опыта не изменяют своего состава. Стандарт не распространяется на газы, насыщенные влагой, температура которых превышает 40 °С |
|