Скачать ГОСТ 25645.146-89 Ионосфера Земли. Модель глобального распределения концентрации, температуры и эффективной частоты соударений электроновДата актуализации: 01.06.2025 ГОСТ 25645.146-89
Ионосфера Земли. Модель глобального распределения концентрации, температуры и эффективной частоты соударений электронов
| Обозначение: |  ГОСТ 25645.146-89 |
| Статус: | действующий |
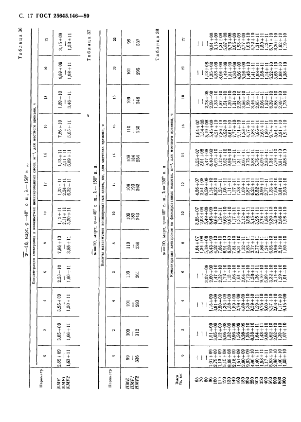
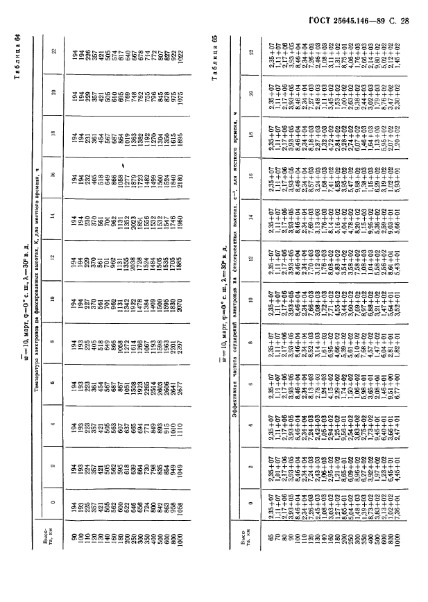
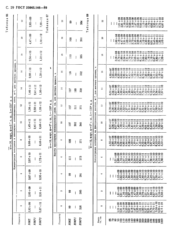
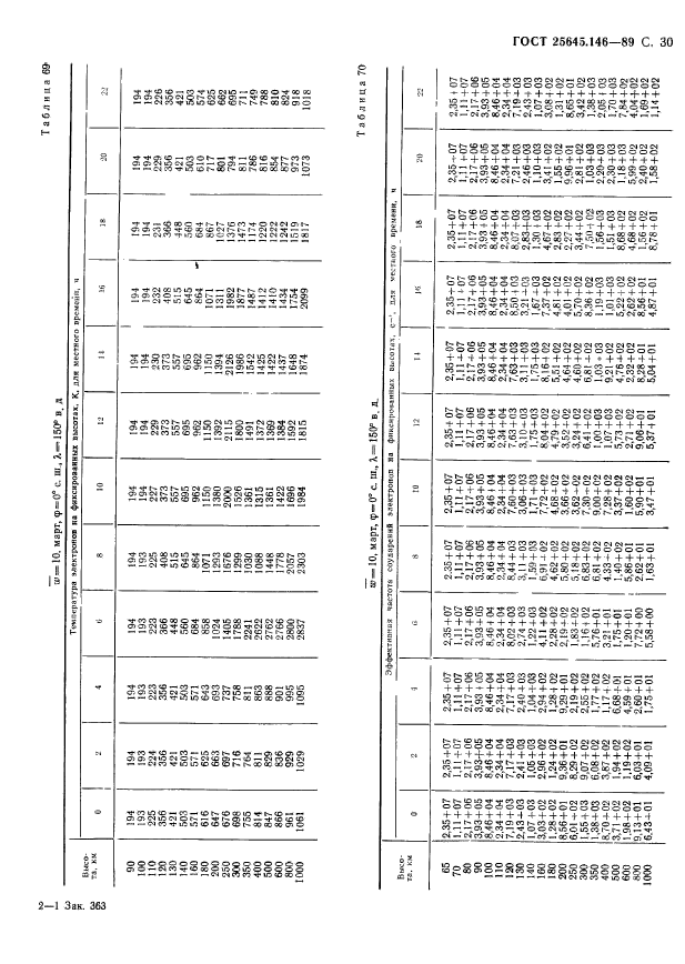
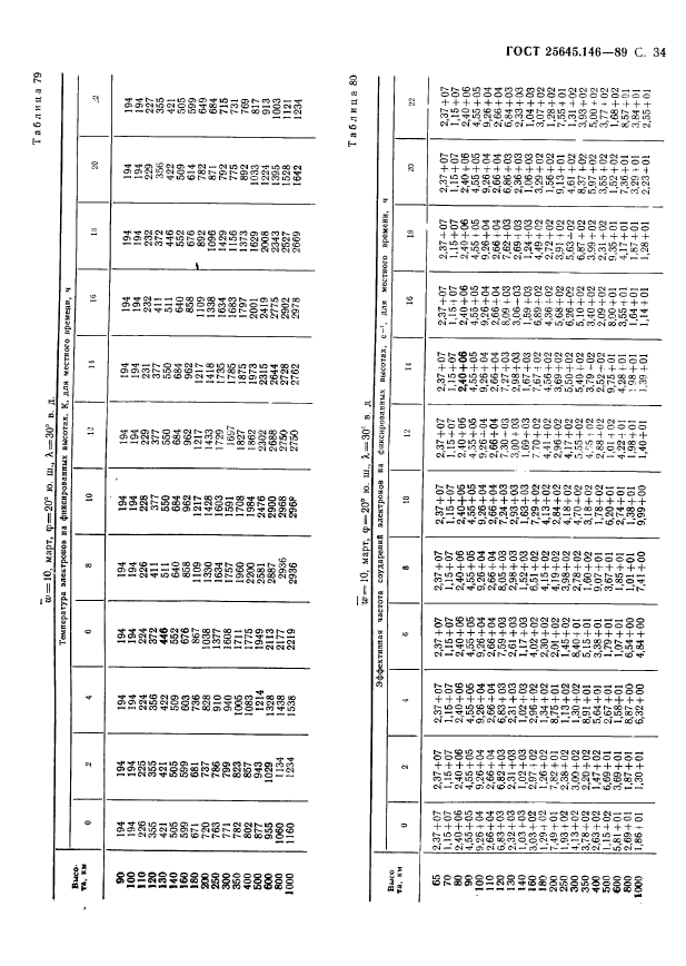
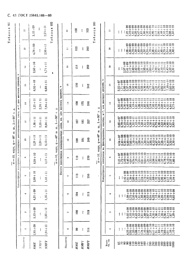
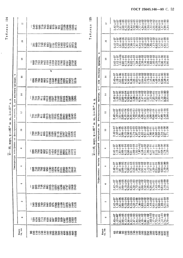
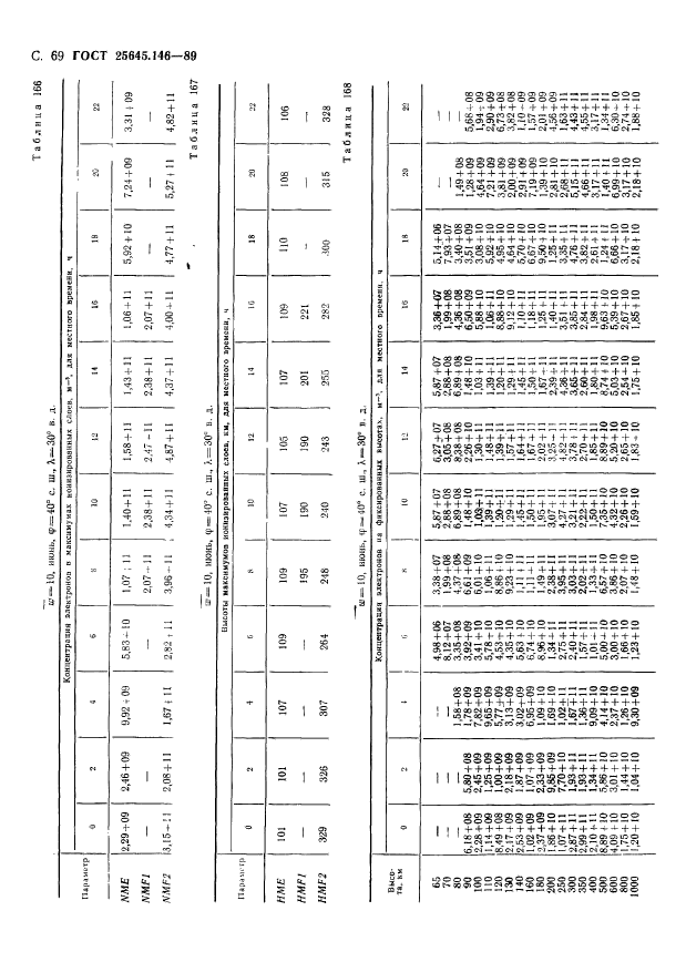
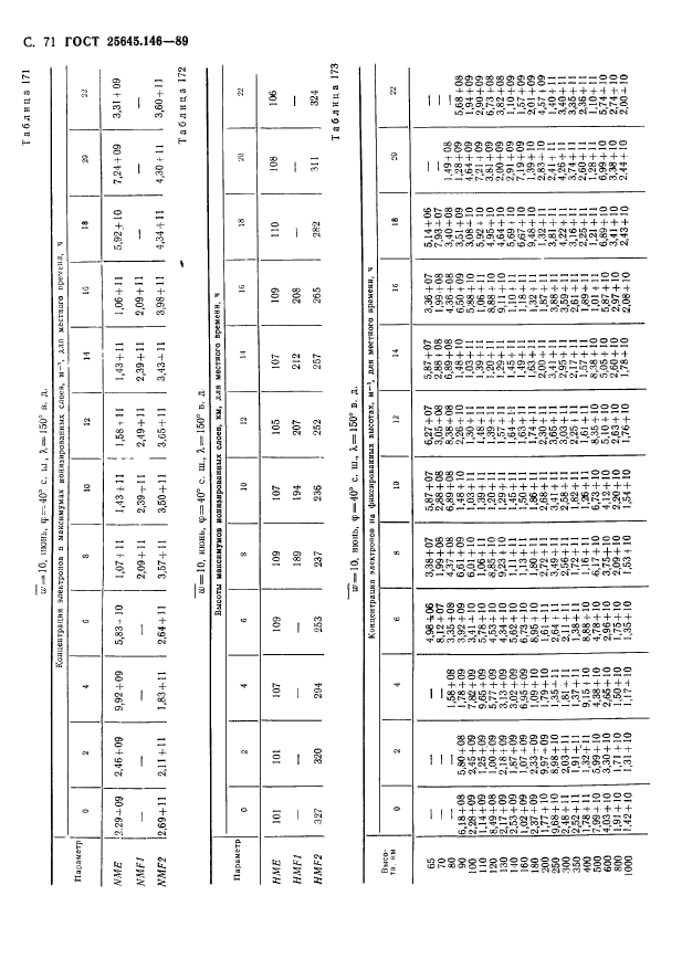
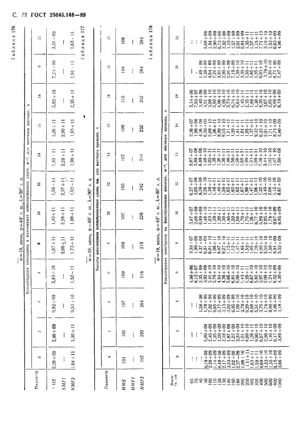
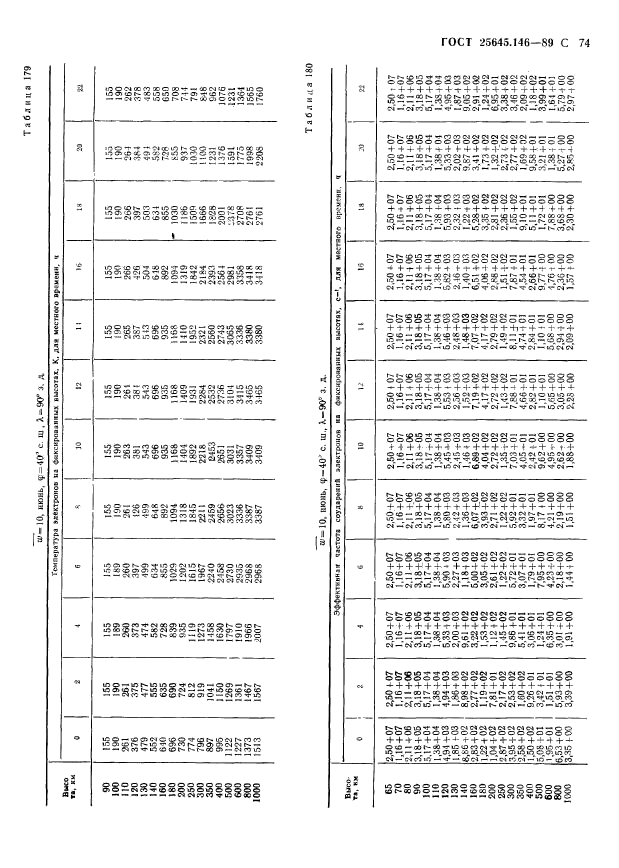
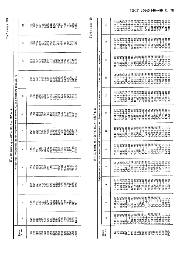
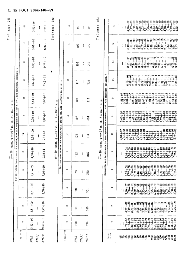
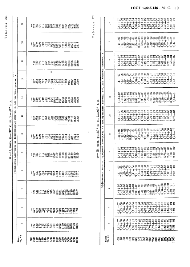
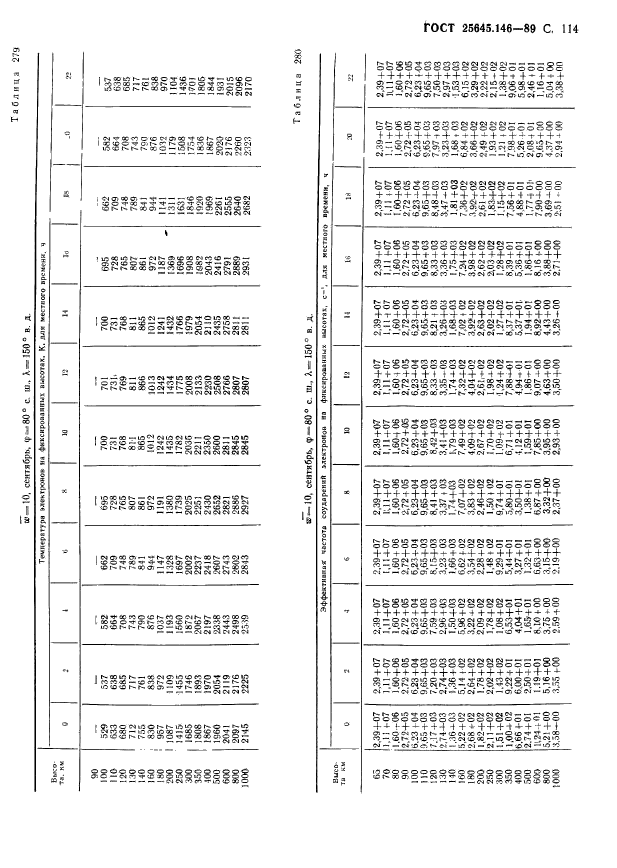
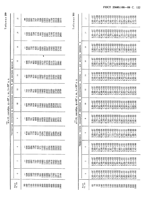
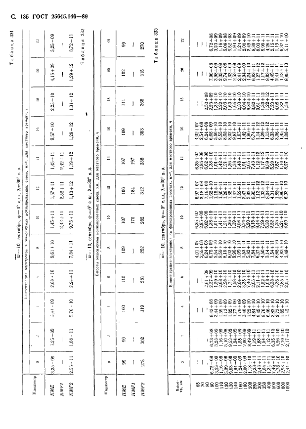
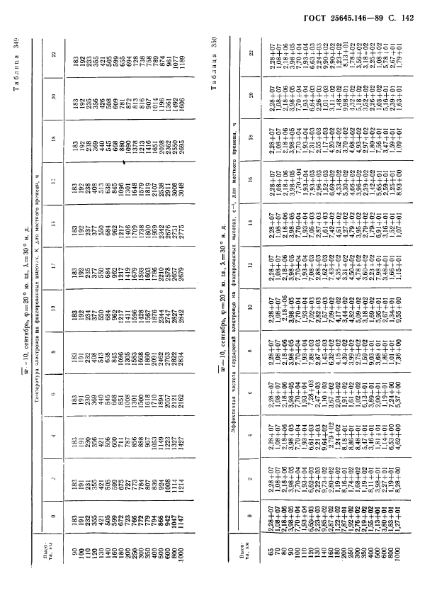
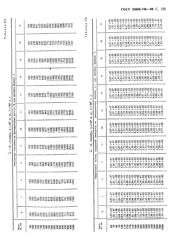
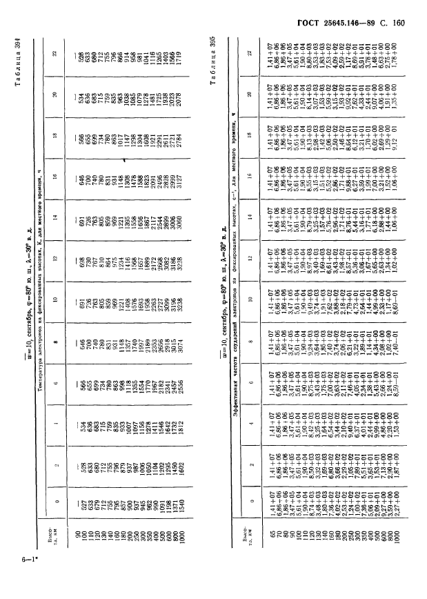
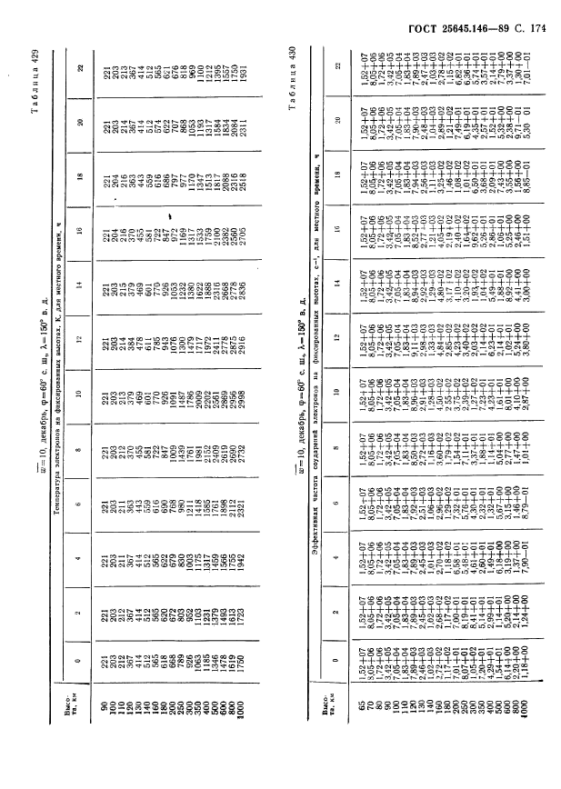
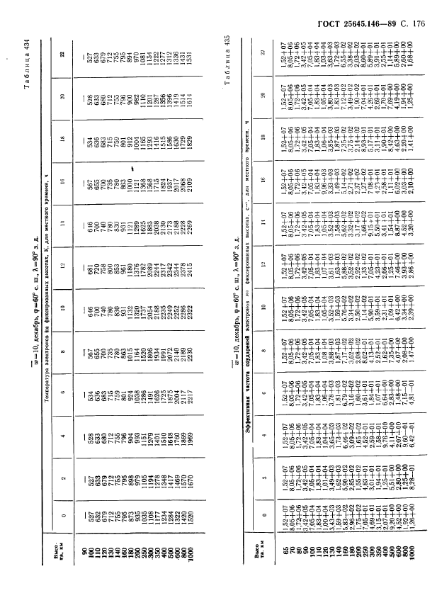
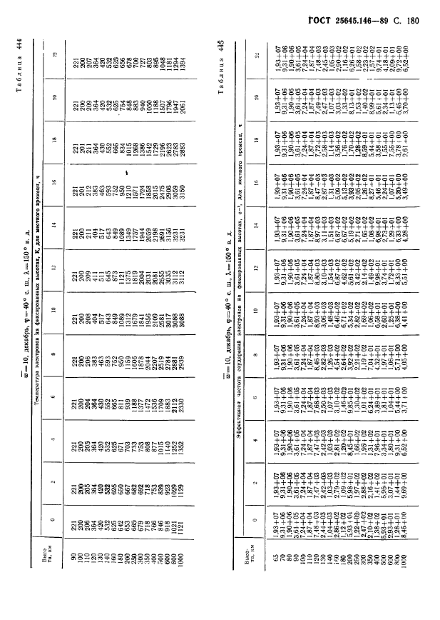
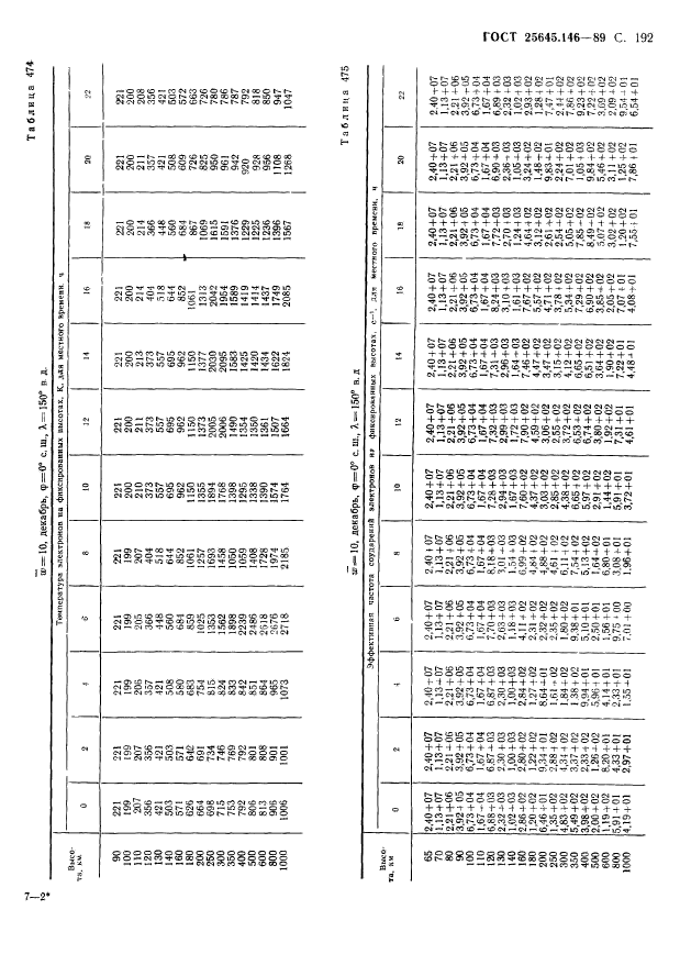
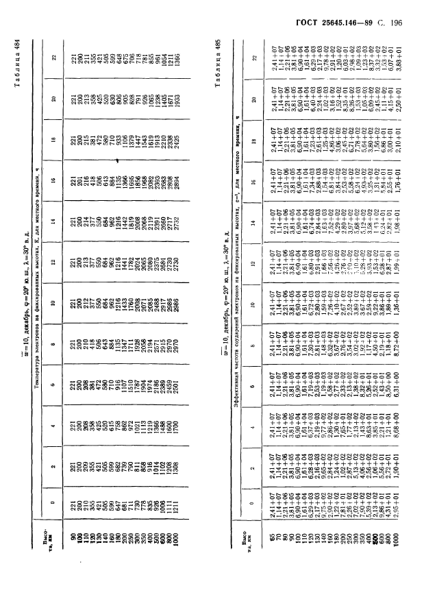
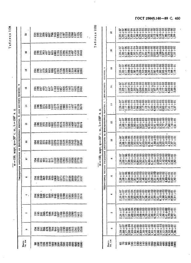
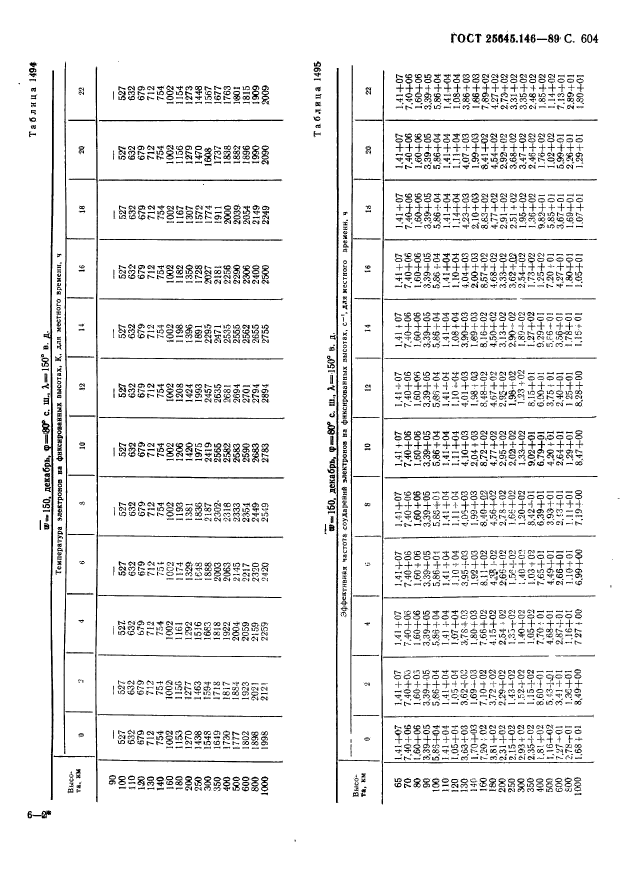
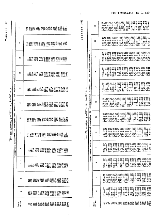
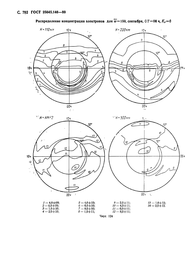
| Название рус.: | Ионосфера Земли. Модель глобального распределения концентрации, температуры и эффективной частоты соударений электронов | | Название англ.: | Earth's ionosphere. Model of global distribution of concentration, temperature and effective collision frequency of electrons | | Дата актуализации текста: | 06.04.2015 | | Дата актуализации описания: | 01.07.2023 | | Дата издания: | 28.12.1990 | | Дата введения: | 01.01.1991 | | Взамен: | ГОСТ 25645.140-86; ГОСТ 25645.141-86; ГОСТ 25645.142-86 | | Нормативные ссылки: | ГОСТ 24375-80 | | Область применения: | Настоящий стандарт устанавливает модель глобального распределения средних значений концентрации, температуры и эффективной частоты соударений электронов в ионосфере Земли в интервале высот от 65 до 1000 км без учета тонких спорадических слоев E для любого времени суток, различных дней года и уровней солнечной активности, а для концентрации электронов на высоких широтах - и для различных уровней геомагнитной активности.Стандарт не распространяется на периоды ионосферных бурь | |
                                                                                                                                                                                                                                                                                                                                                                                                                                                                                                                                                                                                                                                                                                                                                                                                                                                       
|