| Обозначение: |  ГОСТ 20767-75 |
| Статус: | действующий |
| Название рус.: | Ящики из древесины и древесных материалов. Термины и определения |
| Название англ.: | Wooden and wooden material boxes. Terms and definitions |
| Дата актуализации текста: | 06.04.2015 |
| Дата актуализации описания: | 01.07.2023 |
| Дата издания: | 01.07.2008 |
| Дата введения: | 01.01.1976 |
| Код ОКП: | 537100 |
| Содержит требования: | СТ СЭВ 5407-85 |
| Нормативные ссылки: | ГОСТ 16504-81; ГОСТ 17462-84; ГОСТ 17527-2003; ГОСТ 17743-86; ГОСТ 18288-87; ГОСТ 27935-88 |
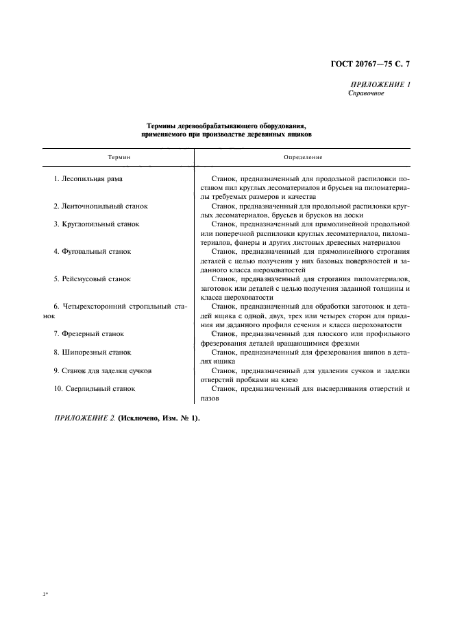
| Область применения: | Настоящий стандарт устанавливает применяемые в науке, технике и производстве термины и определения основных понятий в области производства ящиков из древесины и древесных материалов, включая сырье и продукцию, виды ящиков, их части и детали, технологию производства и оборудование. Термины, установленные настоящим стандартом, обязательны для применения в документации всех видов, учебниках, учебных пособиях, технической и справочной литературе |
| Список изменений: | №1 от 01.01.1988 (рег. 25.11.1986) «Поправка» |
|