| Обозначение: |  ГОСТ 12952-67 |
| Статус: | действующий |
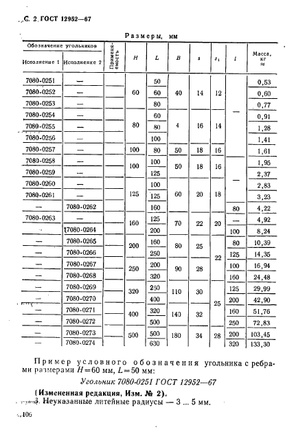
| Название рус.: | Угольники с ребрами для станочных приспособлений. Конструкция |
| Название англ.: | Ribbed angle plates for machine retaining devices. Design and dimensions |
| Дата актуализации текста: | 06.04.2015 |
| Дата актуализации описания: | 01.07.2023 |
| Дата издания: | 01.12.1988 |
| Дата введения: | 01.01.1968 |
| Код ОКП: | 396100 |
| Взамен: | МН 3186-62 |
| Нормативные ссылки: | ГОСТ 1412-70; ГОСТ 3212-57; ГОСТ 1855-55; ГОСТ 10356-63 |
| Область применения: | Настоящий стандарт устанавливает конструкцию и размеры угольников с ребрами для станочных приспособлений |
| Список изменений: | №1 от 01.12.1980 (рег. 29.06.1980) «Срок действия продлен» №2 от 01.01.1989 (рег. 17.03.1988) «Поправка» |
|