| Обозначение: |  ГОСТ 14823-69 |
| Статус: | действующий |
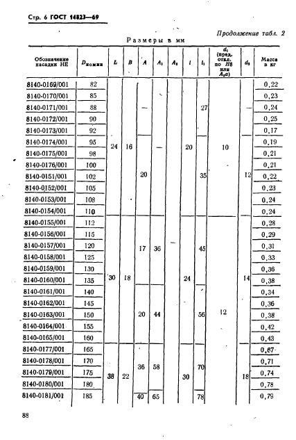
| Название рус.: | Калибры-пробки гладкие непроходные неполные диаметром свыше 75 до 300 мм. Конструкция и размеры |
| Название англ.: | No-go plain plug gauges of not full-form with diameter over 75 to 300 mm. Design and dimensions |
| Дата актуализации текста: | 06.04.2015 |
| Дата актуализации описания: | 01.07.2023 |
| Дата издания: | 01.04.1985 |
| Дата введения: | 01.01.1971 |
| Код ОКП: | 393112 |
| Взамен: | МН 4134-62 |
| Нормативные ссылки: | ГОСТ 14820-69; ГОСТ 1478-69; ГОСТ 3128-70; ГОСТ 2015-84; ГОСТ 21401-75; ГОСТ 9.073-77; ГОСТ 9.306-85;ОСТ 1202;ОСТ 1204;ОСТ 1205;ОСТ 1207;ОСТ 1208;ОСТ 1209;ОСТ 1213;ОСТ 1215;ОСТ 1219;ОСТ 1220;ОСТ НКМ 1221 |
| Область применения: | Настоящий стандарт распространяется на гладкие непроходные неполные калибры-пробки, предназначенные для контроля отверстий с полями допусков по ЕСДП СЭВ и по системе ОСТ |
| Список изменений: | №1 от 30.04.1974 (рег. 03.04.1974) «Срок действия продлен» №2 от 01.01.1980 (рег. 17.11.1978) «Срок действия продлен» №3 от 01.06.1984 (рег. 21.02.1984) «Срок действия продлен» |
|