| Обозначение: |  ГОСТ 15835-70 |
| Статус: | заменён |
| Название рус.: | Прутки из бериллиевой бронзы. Технические условия |
| Название англ.: | Beryllium bronze bars. Specifications |
| Дата актуализации текста: | 06.04.2015 |
| Дата актуализации описания: | 01.07.2023 |
| Дата издания: | 01.03.1999 |
| Дата введения: | 01.01.1971 |
| Дата окончания срока действия: | 01.01.2015 |
| Код ОКП: | 184670 |
| Заменяющий: | ГОСТ 15835-2013 |
| Нормативные ссылки: | ГОСТ 427-75; ГОСТ 1497-84; ГОСТ 2999-75; ГОСТ 3282-74; ГОСТ 3560-73; ГОСТ 4381-87; ГОСТ 6507-90; ГОСТ 7502-89; ГОСТ 8026-92; ГОСТ 9012-59; ГОСТ 9557-87; ГОСТ 14019-82; ГОСТ 14192-96; ГОСТ 15027.1-77; ГОСТ 15027.2-77; ГОСТ 15027.3-77; ГОСТ 15027.5-77; ГОСТ 15027.6-77; ГОСТ 15027.7-77; ГОСТ 15846-79; ГОСТ 18175-78; ГОСТ 20068.1-79; ГОСТ 20068.2-79; ГОСТ 20068.3-79; ГОСТ 20435-75; ГОСТ 21073.0-75; ГОСТ 21073.3-75; ГОСТ 24047-80; ГОСТ 24321-80; ГОСТ 24597-81;ТУ 2-034-225-87 |
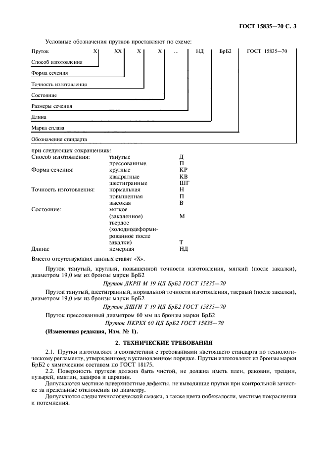
| Область применения: | Настоящий стандарт распространяется на круглые, квадратные, шестигранные тянутые прутки и круглые прессованные прутки из бериллиевой бронзы, применяемые в приборостроении и машиностроении |
| Список изменений: | №1 от 01.09.1986 (рег. 24.04.1986) «Поправка» №2 от 01.01.1988 (рег. 17.06.1987) «Срок действия продлен» №3 от 01.01.1992 (рег. 26.06.1991) «Срок действия продлен» |
|