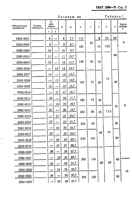
| Обозначение: |  ГОСТ 3509-71 |
| Статус: | действующий |
| Название рус.: | Развертки ручные разжимные. Конструкция и размеры |
| Название англ.: | Adjustable hand reamers. Basic dimensions |
| Дата актуализации текста: | 06.04.2015 |
| Дата актуализации описания: | 01.07.2023 |
| Дата издания: | 01.10.1981 |
| Дата введения: | 01.07.1972 |
| Код ОКП: | 391713 |
| Взамен: | ГОСТ 3509-65 |
| Область применения: | Настоящий стандарт устанавливает основные размеры разверток ручных разжимных |
| Список изменений: | №1 от 01.01.1982 (рег. 30.10.1981) «Срок действия продлен» |
|