| Обозначение: |  ГОСТ 17765-72 |
| Статус: | действующий |
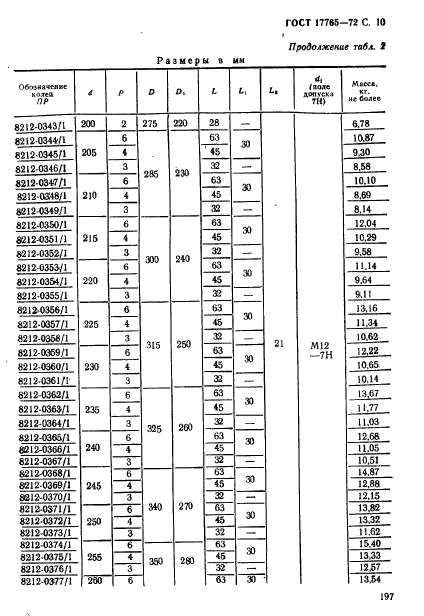
| Название рус.: | Кольца резьбовые с полным профилем резьбы диаметром от 105 до 300 мм. Конструкция и основные размеры |
| Название англ.: | Threaded ring-gauges with full-form of thread of diameters from 105 to 300 mm. Design and basic dimensions |
| Дата актуализации текста: | 06.04.2015 |
| Дата актуализации описания: | 01.07.2023 |
| Дата издания: | 01.03.1990 |
| Дата введения: | 01.07.1973 |
| Код ОКП: | 393140 |
| Взамен в части: | МН 574-62 в части колец с полным профилем резьбы |
| Нормативные ссылки: | ГОСТ 16093-81; ГОСТ 17767-72; ГОСТ 2016-86; ГОСТ 18466-73; ГОСТ 24997-81 |
| Область применения: | Настоящий стандарт распространяется на калибры резьбовые с ручками для контроля метрической резьбы |
| Список изменений: | №1 от 01.11.1974 (рег. 18.09.1974) «Срок действия продлен» №2 от 01.04.1984 (рег. 09.11.1983) «Срок действия продлен» №3 от 01.03.1990 (рег. 27.07.1989) «Срок действия продлен» |
|