| Обозначение: |  ГОСТ 9539-72 |
| Статус: | действующий |
| Название рус.: | Ролики резьбонакатные. Технические условия |
| Название англ.: | Thread rolls. Specifications |
| Дата актуализации текста: | 06.04.2015 |
| Дата актуализации описания: | 01.07.2023 |
| Дата издания: | 01.11.1993 |
| Дата введения: | 01.01.1974 |
| Код ОКП: | 392521 |
| Взамен: | ГОСТ 9539-60 |
| Содержит требования: | СТ СЭВ 6294-88 |
| Нормативные ссылки: | ГОСТ 5950-73; ГОСТ 2789-73; ГОСТ 23726-79; ГОСТ 1050-74; ГОСТ 9378-75; ГОСТ 18088-79 |
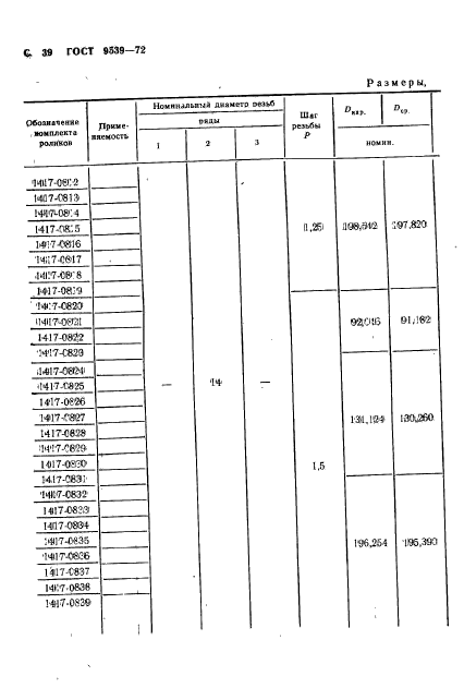
| Область применения: | Настоящий стандарт распространяется на резьбонакатные ролики классов точности 1, 2 и 3 в комплекте из 2-х шт., предназначенные для изготовления резьб диаметром от 3 до 68 мм с шагом от 0,5 до 6,0 мм |
| Список изменений: | №1 от 01.11.1980 (рег. 16.05.1980) «Срок действия продлен» №2 от 01.05.1987 (рег. 09.12.1986) «Срок действия продлен» №3 от 01.01.1990 (рег. 29.03.1989) «Срок действия продлен» №4 от 01.09.1991 (рег. 13.03.1991) «Срок действия продлен» |
|