| Обозначение: |  ГОСТ 17386-72 |
| Статус: | действующий |
| Название рус.: | Колонки направляющие ступенчатые пресс-форм и форм для литья под давлением. Конструкция и размеры |
| Название англ.: | Step-shaped guide pins of plastics moulds and die casting dies. Construction and dimensions |
| Дата актуализации текста: | 06.04.2015 |
| Дата актуализации описания: | 01.07.2023 |
| Дата издания: | 01.05.1992 |
| Дата введения: | 01.07.1973 |
| Код ОКП: | 396300 |
| Взамен: | МН 1522-61;МН 1573-61;МН 5173-63 |
| Нормативные ссылки: | ГОСТ 1435-90; ГОСТ 14034-74; ГОСТ 24643-81; ГОСТ 17392-72; ГОСТ 17386-72; ГОСТ 17389-72 |
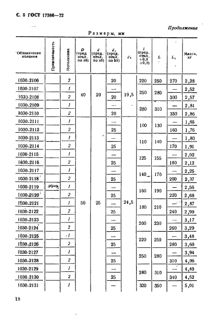
| Область применения: | Настоящий стандарт распространяется на ступенчатые направляющие колонки пресс-форм для прессования изделий из реактопластов и форм для литья под давлением изделий из термопластов и цветных сплавов |
| Список изменений: | №1 от 01.07.1981 (рег. 05.04.1981) «Срок действия продлен» №2 от 01.02.1987 (рег. 10.09.1986) «Срок действия продлен» |
|