| Обозначение: |  ГОСТ 19268-73 |
| Статус: | действующий |
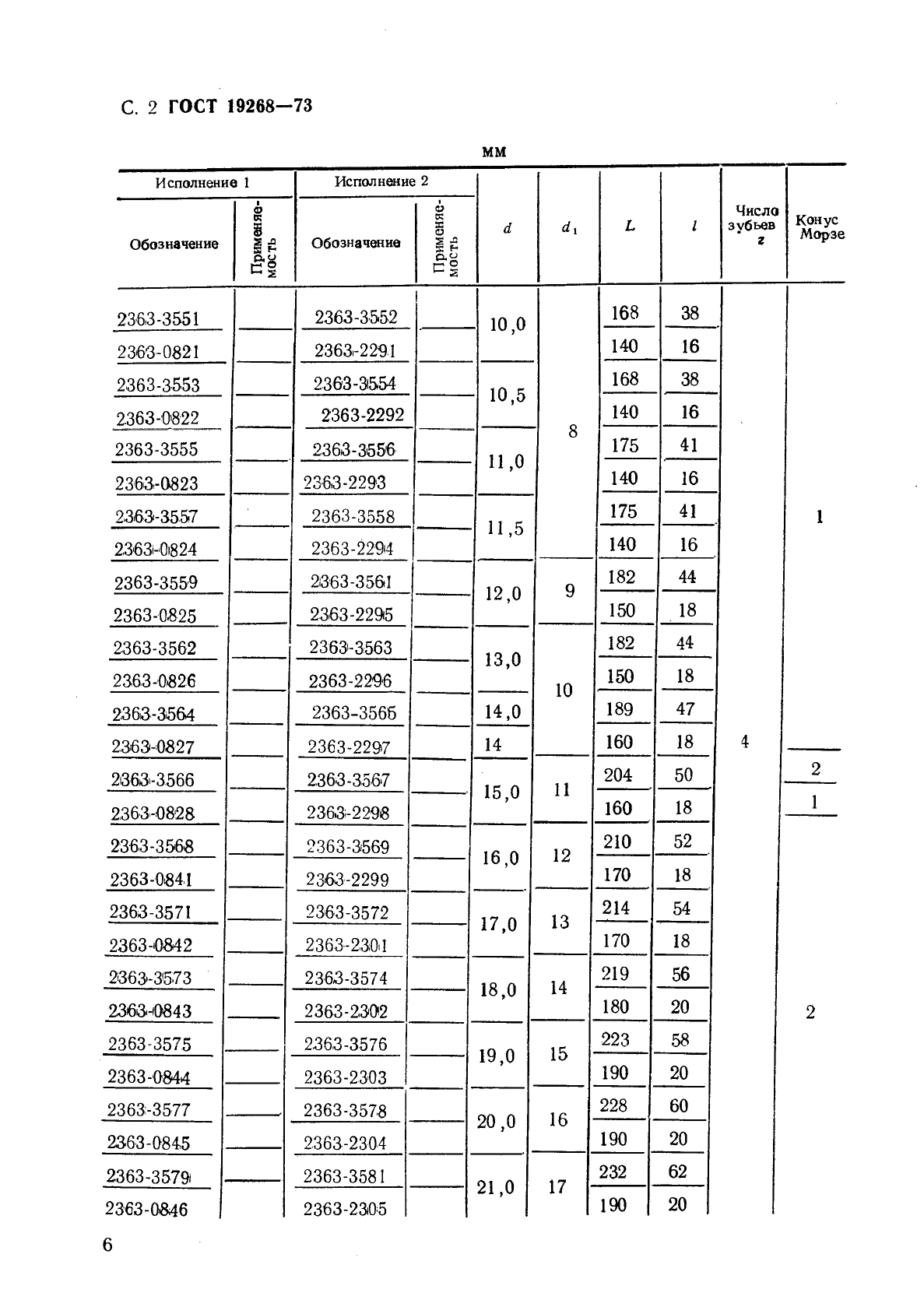
| Название рус.: | Развертки машинные цилиндрические с коническим хвостовиком для обработки деталей из легких сплавов. Конструкция и размеры |
| Название англ.: | Straight machine reamers with tapered shank for working parts of light alloys. Design and dimensions |
| Дата актуализации текста: | 06.04.2015 |
| Дата актуализации описания: | 01.07.2023 |
| Дата издания: | 01.05.1991 |
| Дата введения: | 01.01.1975 |
| Код ОКП: | 391722 |
| Взамен: | МН 83-59;МН 84-59;МН 85-59 |
| Нормативные ссылки: | ГОСТ 7722-70; ГОСТ 11173-76; ГОСТ 19271-73; ГОСТ 19272-73 |
| Область применения: | Настоящий стандарт распространяется на цилиндрические машинные развертки с коническим хвостовиком для обработки отверстий без кондукторных втулок в деталях из легких сплавов с полями допусков Н7, К7, Н8, Н9, Н10, Н11 и на развертки с припуском под доводку № 1, 2, 3, 4, 5, 6 |
| Список изменений: | №0 от 01.01.1983 (рег. 16.02.1982) «Срок действия продлен» №1 от 01.03.1977 (рег. 28.02.1977) «Срок действия продлен» №2 от 01.01.1983 (рег. 16.02.1982) «Срок действия продлен» |
|