| Обозначение: |  ГОСТ 18356-73 |
| Статус: | действующий |
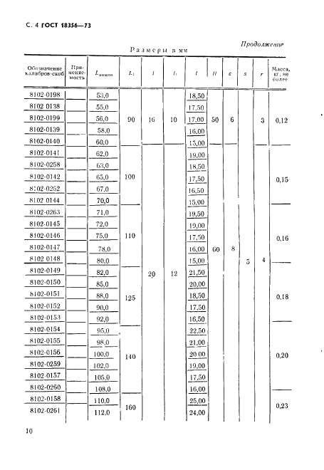
| Название рус.: | Калибры-скобы двусторонние для длин свыше 10 до 360 мм. Конструкция и размеры |
| Название англ.: | Plain double-ended snap gauges for lenght over 10 to 360 mm. Design and dimensions |
| Дата актуализации текста: | 06.04.2015 |
| Дата актуализации описания: | 01.07.2023 |
| Дата издания: | 01.08.1988 |
| Дата введения: | 01.01.1974 |
| Код ОКП: | 393120 |
| Взамен: | МН 249-64 |
| Нормативные ссылки: | ГОСТ 21401-75; ГОСТ 2015-84; ГОСТ 9.306-85;ОСТ 1203;ОСТ 1205;ОСТ 1208;ОСТ 1209;ОСТ 1219;ОСТ 1220;ОСТ НКМ 1221 |
| Область применения: | Настоящий стандарт распространяется на двусторонние калибры-скобы для контроля длин до 260 мм с полями допусков по ЕСДП 6-го и более грубых квалитетов, свыше 260 мм - 9-го и более грубых квалитетов, а также для контроля длин до 260 мм с полями допусков по системе ОСТ 2-го и более грубых классов точности, свыше 260 мм - 3-го и более грубых классов точности |
| Список изменений: | №1 от 30.06.1985 (рег. 05.03.1985) «Срок действия продлен» |
|