| Обозначение: |  ГОСТ 3295-73 |
| Статус: | действующий |
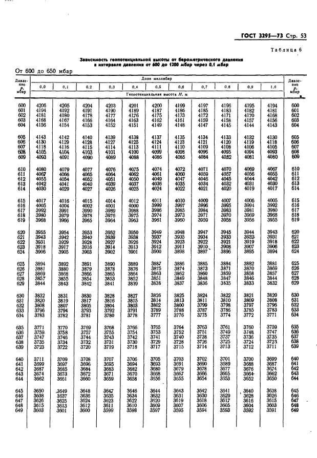
| Название рус.: | Таблицы гипсометрические для геопотенциальных высот до 50000 м. Параметры |
| Название англ.: | Hypsometric tables for geopotential altitudes up 50000 m. Characteristics |
| Дата актуализации текста: | 06.04.2015 |
| Дата актуализации описания: | 01.01.2021 |
| Дата издания: | 05.03.1974 |
| Дата введения: | 01.01.1975 |
| Взамен: | ГОСТ 3295-46 |
| Нормативные ссылки: | ГОСТ 4401-73 |
| Область применения: | Настоящий стандарт устанавливает числовые значения барометрического и избыточного давлений воздуха на равных уровнях для различных высот, исходя из принятых констант состояния атмосферы на уровне моря и законов изменения давления, установленных ГОСТ 4401-73 |
|