| Обозначение: |  ГОСТ 20364-74 |
| Статус: | действующий |
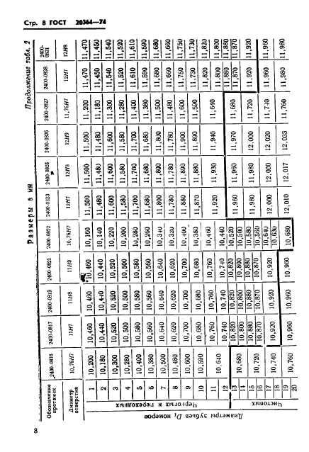
| Название рус.: | Протяжки круглые переменного резания диаметром от 10 до 13 мм. Конструкция и размеры |
| Название англ.: | Round broaches of variable cutting of diameters from 10 to 13 mm. Design and dimensions |
| Дата актуализации текста: | 06.04.2015 |
| Дата актуализации описания: | 01.07.2023 |
| Дата издания: | 01.03.1983 |
| Дата введения: | 01.01.1976 |
| Код ОКП: | 392310 |
| Взамен: | МН 4171-62 |
| Нормативные ссылки: | ГОСТ 2789-73; ГОСТ 4044-70; ГОСТ 9126-76; ГОСТ 13377-75; ГОСТ 14034-74; ГОСТ 20365-74 |
| Область применения: | Настоящий стандарт распространяется на протяжки универсального назначения переменного резания, равной стойкости черновой и чистовой частей, предназначенные для обработки цилиндрических отверстий диаметром от 10 до 13 мм |
| Список изменений: | №1 от 01.01.1978 (рег. 01.08.1977) «Срок действия продлен» №2 от 01.10.1981 (рег. 14.06.1981) «Срок действия продлен» №3 от 01.10.1982 (рег. 11.05.1982) «Срок действия продлен» №4 от 01.02.1988 (рег. 22.09.1987) «Срок действия продлен» |
|