| Обозначение: |  ГОСТ 22634-77 |
| Статус: | действующий |
| Название рус.: | Калибры для соединений бурильных труб со стабилизирующими поясками и замков к ним. Технические условия |
| Название англ.: | Gauges for connections of drill pipes with stabilizing collars and tool-joints. Specifications |
| Дата актуализации текста: | 06.04.2015 |
| Дата актуализации описания: | 01.07.2023 |
| Дата издания: | 01.07.2003 |
| Дата введения: | 01.01.1980 |
| Код ОКП: | 393171 |
| Нормативные ссылки: | ГОСТ 9.014-78; ГОСТ 631-75; ГОСТ 801-78; ГОСТ 1908-82; ГОСТ 2789-73; ГОСТ 5286-75; ГОСТ 5950-73; ГОСТ 15623-84 |
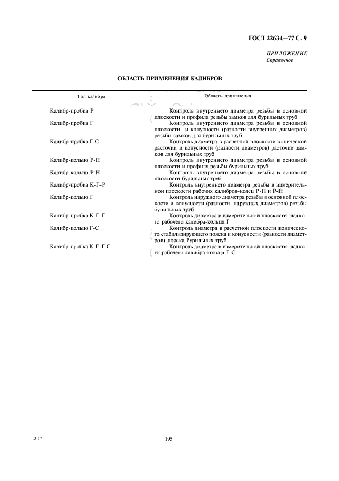
| Область применения: | Настоящий стандарт распространяется на конические резьбовые и гладкие калибры для контроля трубной правой и левой трапецеидальной резьбы ТТ, конических стабилизирующих поясков бурильных труб и конических расточек замков |
| Список изменений: | №1 от 31.05.1985 (рег. 14.12.1984) «Срок действия продлен» |
|