| Обозначение: |  ГОСТ 30318-95 |
| Статус: | действующий |
| Название рус.: | Совместимость технических средств электромагнитная. Требования к ширине полосы радиочастот и внеполосным излучениям радиопередатчиков. Методы измерений и контроля |
| Название англ.: | Electromagnetic compatibility of technical means. Frequency bandwidth and off-band emission requirements of radiotransmitters. Test and control methods |
| Дата актуализации текста: | 06.04.2015 |
| Дата актуализации описания: | 01.07.2023 |
| Дата регистрации: | 26.04.1995 |
| Дата издания: | 01.10.2005 |
| Дата введения: | 01.07.1996 |
| Аутентичен стандартам: | ГОСТ Р 50016-92 |
| Нормативные ссылки: | ГОСТ 22579-86; ГОСТ 23611-79; ГОСТ 24375-80; ГОСТ 26886-86;Нормы 19-86 |
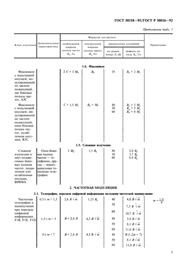
| Область применения: | Настоящий стандарт распространяется на действующие, выпускаемые, устанавливаемые и вновь разрабатываемые (модернизируемые) радиопередатчики народнохозяйственного применения и устанавливает основные параметры ширины полосы радиочастот и внеполосных излучений радиопередатчиков. Настоящий стандарт не распространяется на переносные радиопередатчики спасательных средств, радиопередатчики, используемые для передачи сигналов тревоги и бедствия, и радиопередатчики, работающие в полосе частот ниже 30 МГц с пиковой мощностью менее 1 Вт |
|