| Обозначение: |  ГОСТ 16648-80 |
| Статус: | действующий |
| Название рус.: | Державки с двумя крепежными отверстиями. Конструкция и размеры |
| Название англ.: | Holders with two mounting holes. Construction and dimensions |
| Дата актуализации текста: | 06.04.2015 |
| Дата актуализации описания: | 01.07.2023 |
| Дата издания: | 01.02.2006 |
| Дата введения: | 01.01.1981 |
| Код ОКП: | 399800 |
| Взамен: | ГОСТ 16648-71; ГОСТ 16649-71 |
| Нормативные ссылки: | ГОСТ 16675-80 |
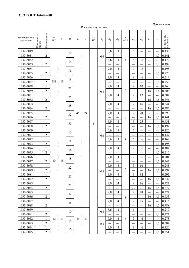
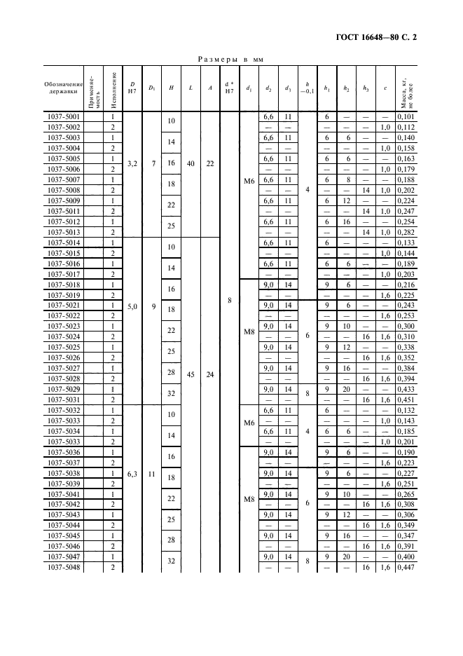
| Область применения: | Настоящий стандарт устанавливает конструкцию и размеры державок с двумя крепежными отверстиями |
| Список изменений: | №1 от 01.01.1986 (рег. 25.06.1985) «Срок действия продлен» |
|