| Обозначение: |  ГОСТ Р 52471-2005 |
| Статус: | отменён |
| Название рус.: | Корма. Иммуноферментный метод определения микотоксинов |
| Название англ.: | Feedstuffs. Immunoenzyme method of mycotoxin determination |
| Дата актуализации текста: | 06.04.2015 |
| Дата актуализации описания: | 01.07.2023 |
| Дата издания: | 06.04.2006 |
| Дата введения: | 01.01.2007 |
| Дата окончания срока действия: | 01.07.2013 |
| Код ОКП: | 920000 |
| На территории РФ пользоваться: | ГОСТ 31653-2012 |
| Нормативные ссылки: | ГОСТ Р 8.563-96; ГОСТ Р ИСО 5725-1-2002; ГОСТ Р ИСО 5725-2-2002; ГОСТ Р ИСО 5725-3-2002; ГОСТ Р ИСО 5725-6-2002; ГОСТ Р 51088-97; ГОСТ 8.315-97; ГОСТ 12.1.004-91; ГОСТ 12.1.019-79; ГОСТ 12.4.009-83; ГОСТ 334-73; ГОСТ 1770-74; ГОСТ 4204-77; ГОСТ 6709-72; ГОСТ 12026-76; ГОСТ 13496.0-80; ГОСТ 13586.3-83; ГОСТ 13979.0-86; ГОСТ 24104-2001; ГОСТ 25336-82; ГОСТ 27262-87; ГОСТ 27668-88 |
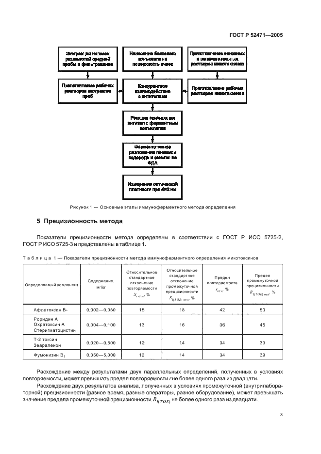
| Область применения: | Настоящий стандарт устанавливает иммуноферментный метод определения содержания микотоксинов (афлатоксин В1, роридин А, охратоксин А, стеригматоцистин, Т-2 токсин, зеараленон, фумонизин В1) в кормах. Настоящий стандарт распространяется на зерновые корма, зернобобовые кормовые культуры, искусственно высушенные и грубые корма, продукцию комбикормовой промышленности (комбикорма полнорационные, комбикорма-концентраты), сырье для производства кормов и кормовые добавки, за исключением кормовых добавок минерального происхождения и продукции органического синтеза |
| Список изменений: | №0 от 30.06.2013 (рег. 17.09.2012) «Текстовое изменение; Изменено заглавие» |
|