| Обозначение: |  ГОСТ 2239-79 |
| Статус: | действующий |
| Название рус.: | Лампы накаливания общего назначения. Технические условия |
| Название англ.: | Electric filament lamps for general purpose. Specifications |
| Дата актуализации текста: | 06.04.2015 |
| Дата актуализации описания: | 01.01.2023 |
| Дата издания: | 01.07.2003 |
| Дата введения: | 01.01.1981 |
| Код ОКП: | 346610 |
| Взамен: | ГОСТ 2239-70 |
| Отменен в части: | Утратил силу на территории РФ в части ламп накаливания типов Б, В и Г, с 01.01.2008 действует ГОСТ Р 52706-2007 |
| Содержит требования: | СТ СЭВ 3569-82 |
| На территории РФ пользоваться: | ГОСТ Р 52706-2007 |
| Нормативные ссылки: | IEC 60064(1987) |
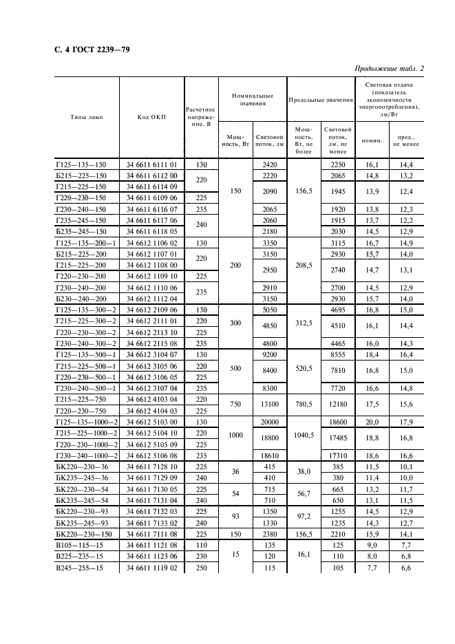
| Область применения: | Настоящий стандарт распространяется на лампы накаливания общего назначения, предназначенные для светильников внутреннего и наружного освещения, в сетях переменного тока с номинальным напряжением 127 или 220 В частоты 50 Гц |
| Список изменений: | №0 от 01.01.2008 (рег. 26.01.2007) «Поправка к изменению» №1 от 01.05.1982 (рег. 10.12.1981) «Срок действия продлен» №2 от 01.01.1984 (рег. 21.03.1983) «Срок действия продлен» №3 от 01.01.1986 (рег. 22.08.1985) «Срок действия продлен» №4 от 01.07.1988 (рег. 22.04.1987) «Срок действия продлен» №5 от 01.04.1989 (рег. 25.09.1988) «Срок действия продлен» №6 от 01.01.1990 (рег. 09.07.1989) «Срок действия продлен» №7 от 01.07.1991 (рег. 21.12.1990) «Срок действия продлен» |
|