| Обозначение: |  ГОСТ 24273-80 |
| Статус: | действующий |
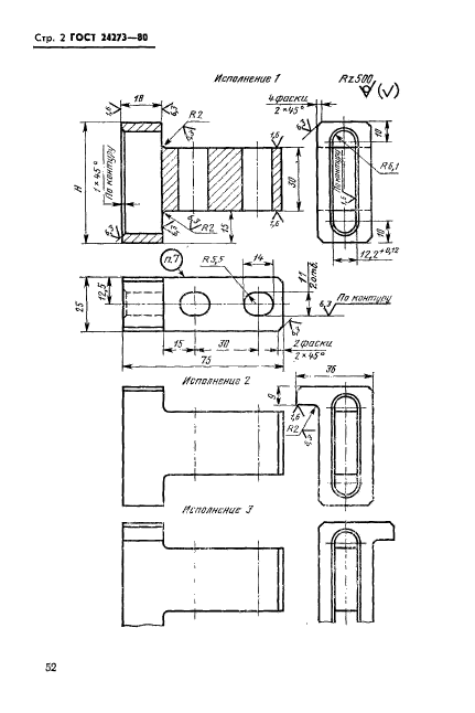
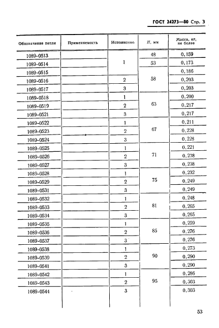
| Название рус.: | Петли к шарнирам с роликом на кассетные пресс-формы для изготовления резинотехнических изделий. Конструкция и размеры |
| Название англ.: | Hinges for roll joints of bar press moulds for manufacturing of industrial rubber articles. Design and dimensions |
| Дата актуализации текста: | 06.04.2015 |
| Дата актуализации описания: | 01.07.2023 |
| Дата издания: | 01.07.1986 |
| Дата введения: | 01.01.1981 |
| Код ОКП: | 396380 |
| Нормативные ссылки: | ГОСТ 977-75; ГОСТ 2009-55; ГОСТ 3212-80; ГОСТ 14901-79 |
| Область применения: | Настоящий стандарт устанавливает конструкцию и размеры петель |
| Список изменений: | №1 от 01.06.1986 (рег. 22.11.1985) «Срок действия продлен» |
|