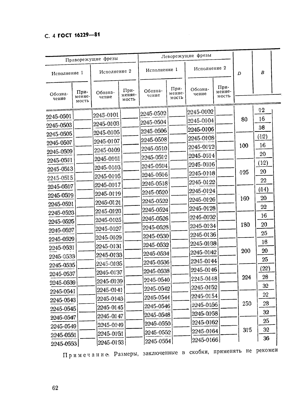
| Обозначение: |  ГОСТ 16229-81 |
| Статус: | действующий |
| Название рус.: | Фрезы дисковые двухсторонние со вставными ножами из быстрорежущей стали для обработки легких сплавов. Конструкция и размеры |
| Название англ.: | Double angle disk cutter with inserted blades for machining light alloys. Design and dimensions |
| Дата актуализации текста: | 06.04.2015 |
| Дата актуализации описания: | 01.07.2023 |
| Дата издания: | 01.05.1990 |
| Дата введения: | 01.01.1983 |
| Код ОКП: | 391835 |
| Взамен: | ГОСТ 16229-70 |
| Нормативные ссылки: | ГОСТ 9472-83; ГОСТ 2568-71;ОСТ 2 И64-1-88;ТУ 2.035.0224638.1156-88 |
| Область применения: | Настоящий стандарт распространяется на праворежущие и леворежущие двухсторонние дисковые фрезы диаметром D от 80 до 315 мм со вставными ножами из быстрорежущей стали для обработки легких сплавов |
| Список изменений: | №1 от 01.07.1988 (рег. 23.12.1987) «Срок действия продлен» |
|