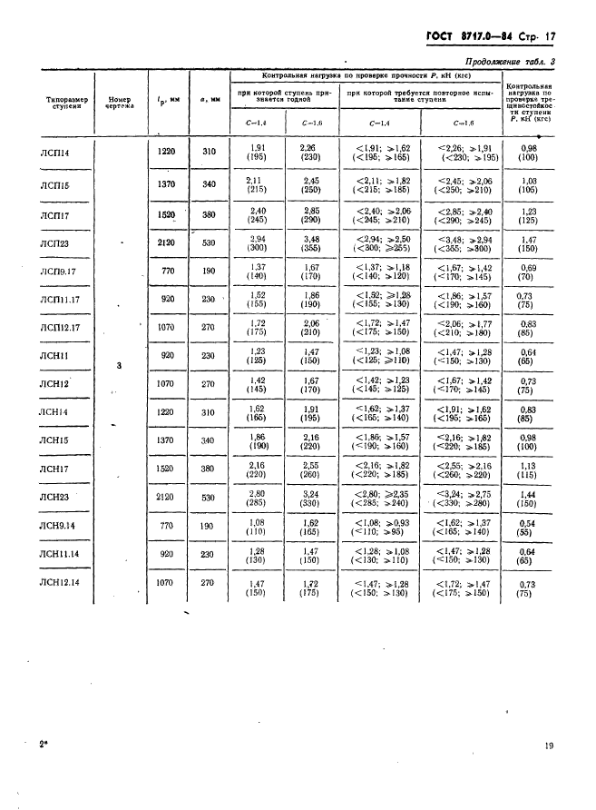
| Обозначение: |  ГОСТ 8717.0-84 |
| Статус: | заменён |
| Название рус.: | Ступени железобетонные и бетонные. Технические условия |
| Название англ.: | Reinforced concrete and concrete steps. Specifications |
| Дата актуализации текста: | 06.04.2015 |
| Дата актуализации описания: | 01.07.2023 |
| Дата издания: | 01.07.1987 |
| Дата введения: | 01.01.1986 |
| Дата окончания срока действия: | 01.05.2017 |
| Код ОКП: | 574613 |
| Взамен: | ГОСТ 8717-81 |
| Заменяющий: | ГОСТ 8717-2016 |
| Область применения: | Настоящий стандарт распространяется на железобетонные и бетонные ступени, изготовленные из тяжелого бетона и плотного силикатного бетона и предназначенные для устройств внутренних и наружных лестниц зданий и сооружений. Бетонные ступени предназначены для устройства лестниц по сплошному основанию |
| Список изменений: | №1 от 01.08.1973 (рег. 27.04.1973) «Срок действия продлен» |
|