| Обозначение: |  ГОСТ 26449.4-85 |
| Статус: | действующий |
| Название рус.: | Установки дистилляционные опреснительные стационарные. Методы химического анализа накипи и шламов |
| Название англ.: | Stationary distillation desalting units. Methods of chemical analisis of scale and slurries |
| Дата актуализации текста: | 06.04.2015 |
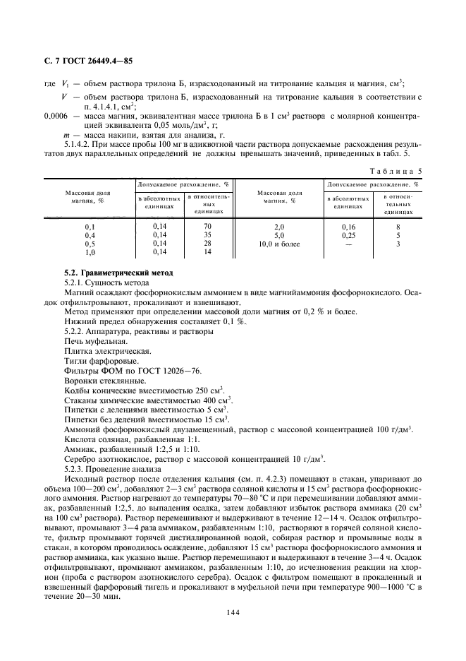
| Дата актуализации описания: | 01.07.2023 |
| Дата издания: | 01.10.2003 |
| Дата введения: | 01.01.1987 |
| Код ОКП: | 361400 |
| Нормативные ссылки: | ГОСТ 12026-76; ГОСТ 26449.0-85; ГОСТ 4919.1-75; ГОСТ 26449.1-85 |
| Область применения: | Настоящий стандарт устанавливает методы химического анализа накипи и шламов на контролируемые компоненты |
|