| Обозначение: |  ГОСТ 29035-91 |
| Статус: | действующий |
| Название рус.: | Постоянные резисторы для электронной аппаратуры. Часть 5. Форма технических условий на постоянные прецизионные резисторы. Уровень качества Е |
| Название англ.: | Fixed resistors for use in electronic equirment. Part 5. Blank detail specification : fixed precision resistors. Assessment level E |
| Дата актуализации текста: | 06.04.2015 |
| Дата актуализации описания: | 01.07.2023 |
| Дата издания: | 01.09.2004 |
| Дата введения: | 01.07.1992 |
| Код ОКП: | 600000 |
| Содержит требования: | IEC 60115-5-1(1983) |
| Нормативные ссылки: | IEC 60115-5-1(1983);IEC 60063(1963);IEC 60115-5(1982);IEC 60115-1(1982) |
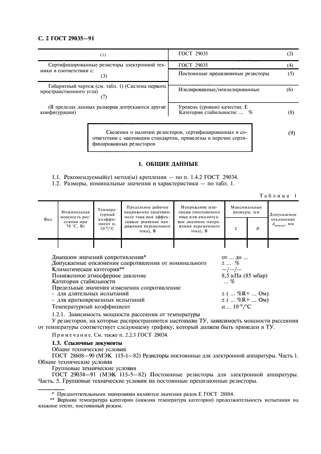
| Область применения: | Настоящий стандарт устанавливает требования к построению, изложению и минимальному содержанию ТУ на резисторы, в том числе подлежащие сертификации. Стандарт подготовлен методом прямого применения международного стандарта МЭК 115-5-1 |
|