| Обозначение: |  ГОСТ 30352-96 |
| Статус: | не действует в РФ |
| Название рус.: | Круги алмазные шлифовальные для обработки сортового и художественного стекла. Технические условия |
| Название англ.: | Diamond grinding wheels for processeing glass of high guality and art. Specifications |
| Дата актуализации текста: | 06.04.2015 |
| Дата актуализации описания: | 01.07.2023 |
| Дата регистрации: | 12.04.1996 |
| Дата издания: | 11.02.1997 |
| Дата введения: | 01.01.1997 |
| Дата окончания срока действия: | 01.01.2012 |
| Код ОКП: | 397225 |
| На территории РФ пользоваться: | ГОСТ Р 53923-2010 |
| Нормативные ссылки: | ГОСТ 8.051-81; ГОСТ 12.3.023-80; ГОСТ 380-88; ГОСТ 1050-88; ГОСТ 9013-59; ГОСТ 9206-80; ГОСТ 16181-82; ГОСТ 18088-83; ГОСТ 24643-81 |
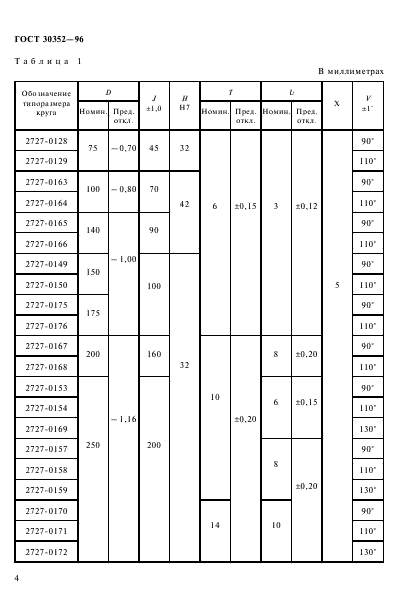
| Область применения: | Настоящий стандарт распространяется на алмазные шлифовальные круги, предназначенные для обработки стекла, керамики, кварца и других неметаллических предметов |
| Список изменений: | №0 от 14.07.2001 (рег. 14.07.2001) «Дата введения перенесена» №0 от 01.01.2012 (рег. 12.11.2010) «Поправка к изменению» |
| Приложение №1: | Поправка к ГОСТ 30352-96 |
| Приложение №2: | Поправка к ГОСТ 30352-96 |
|