Скачать ГОСТ 14700-69 Ножи, оснащенные твердым сплавом, для двух- и трехсторонних дисковых фрез. Конструкция и размерыДата актуализации: 01.06.2025 ГОСТ 14700-69
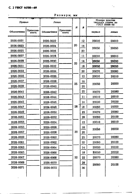
Ножи, оснащенные твердым сплавом, для двух- и трехсторонних дисковых фрез. Конструкция и размеры
| Обозначение: |  ГОСТ 14700-69 |
| Статус: | действующий |
| Название рус.: | Ножи, оснащенные твердым сплавом, для двух- и трехсторонних дисковых фрез. Конструкция и размеры | | Название англ.: | Carbide tipped blades for double- and three-side disk cutters. Construction and dimensions | | Дата актуализации текста: | 06.04.2015 | | Дата актуализации описания: | 01.07.2023 | | Дата издания: | 01.08.1988 | | Дата введения: | 01.07.1970 | | Код ОКП: | 391800 | | Взамен: | МН 1000-60 | | Взамен в части: | ГОСТ 9406-60, кроме клиньев | | Нормативные ссылки: | ГОСТ 2568-71; ГОСТ 5808-77; ГОСТ 25408-82 | | Область применения: | Настоящий стандарт устанавливает конструкцию и размеры ножей, оснащенных твердым сплавом, для двух- и трехсторонних дисковых фрез | | Список изменений: | №1 от 01.01.1972 (рег. 28.12.1971) «Срок действия продлен» №2 от 01.11.1984 (рег. 28.05.1984) «Срок действия продлен» | |
        
|