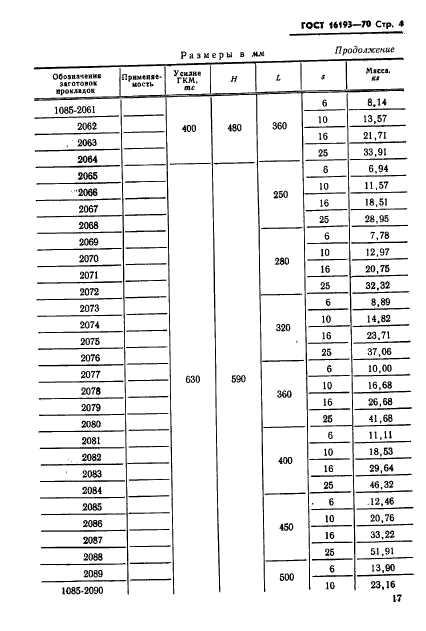
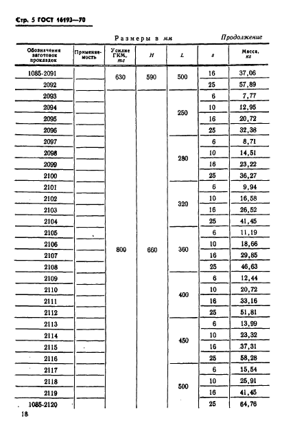
| Обозначение: |  ГОСТ 16193-70 |
| Статус: | действующий |
| Название рус.: | Заготовки прокладок штампов горизонтально-ковочных машин. Конструкция и размеры |
| Название англ.: | Blanks of dies backing of horizontal forging machines. Construction and dimensions |
| Дата актуализации текста: | 06.04.2015 |
| Дата актуализации описания: | 01.07.2023 |
| Дата издания: | 14.09.1970 |
| Дата введения: | 01.01.1971 |
| Код ОКП: | 396310 |
| Взамен: | МН 1279-60 |
| Нормативные ссылки: | ГОСТ 1050-74; ГОСТ 16198-70; ГОСТ 19903-74 |
| Область применения: | Настоящий стандарт распространяется на заготовки, предназначенные для изготовления прокладок штампов горизонтально-ковочных машин с вертикальным разъемом матриц |
| Список изменений: | №1 от 01.01.1981 (рег. 16.07.1980) «Срок действия продлен» |
|