| Обозначение: |  ГОСТ 17759-72 |
| Статус: | действующий |
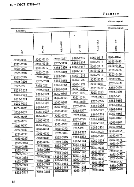
| Название рус.: | Пробки резьбовые с полным профилем резьбы диаметром от 52 до 100 мм. Конструкция и основные размеры |
| Название англ.: | Threaded plug-gauges with full form of thread of diameters from 52 to 100 mm. Design and basic dimensions |
| Дата актуализации текста: | 06.04.2015 |
| Дата актуализации описания: | 01.07.2023 |
| Дата издания: | 01.03.1990 |
| Дата введения: | 01.07.1973 |
| Код ОКП: | 393141 |
| Взамен: | МН 567-62 |
| Нормативные ссылки: | ГОСТ 2016-86; ГОСТ 14749-69; ГОСТ 16093-81; ГОСТ 18465-73; ГОСТ 18466-73 |
| Область применения: | Настоящий стандарт распространяется на калибры резьбовые для контроля метрической резьбы |
| Список изменений: | №1 от 01.11.1974 (рег. 18.09.1974) «Срок действия продлен» №2 от 01.04.1984 (рег. 09.11.1983) «Срок действия продлен» №3 от 01.03.1990 (рег. 27.07.1989) «Срок действия продлен» |
|