| Обозначение: |  ГОСТ 17931-72 |
| Статус: | действующий |
| Название рус.: | Метчики машинные с укороченными канавками. Конструкция и размеры |
| Название англ.: | Machine taps with shortened flutes. Design and dimensions |
| Дата актуализации текста: | 06.04.2015 |
| Дата актуализации описания: | 01.01.2026 |
| Дата издания: | 05.09.1972 |
| Дата введения: | 01.01.1974 |
| Дата окончания срока действия: | 01.07.2026 |
| Код ОКП: | 391362 |
| На территории РФ пользоваться: | ГОСТ Р 72143-2025 |
| Нормативные ссылки: | ГОСТ 14034-74; ГОСТ 9523-84; ГОСТ 16925-71; ГОСТ 17039-71; ГОСТ 17930-72 |
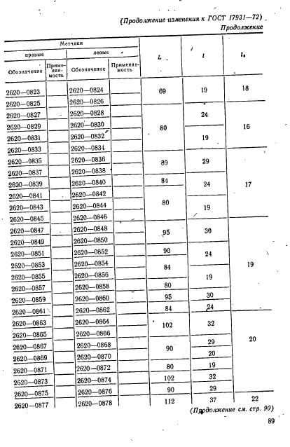
| Область применения: | Настоящий стандарт распространяется на машинные метчики с укороченными канавками, предназначенные для нарезания метрической резьбы в сквозных отверстиях |
| Список изменений: | №1 от 01.01.1974 (рег. 25.06.1973) «Срок действия продлен» №2 от 01.03.1981 (рег. 09.12.1980) «Срок действия продлен» №3 от 01.05.1990 (рег. 14.09.1989) «Срок действия продлен» |
|