Скачать ГОСТ 18410-73 Кабели силовые с пропитанной бумажной изоляцией. Технические условияДата актуализации: 01.01.2026
| ||||||||||||||||||||||||||||||||||||||||
| Обозначение: | ![]() ГОСТ 18410-73 |
| Статус: | действующий |
| Название рус.: | Кабели силовые с пропитанной бумажной изоляцией. Технические условия |
| Название англ.: | Power paper insulated cables. Specifications |
| Дата актуализации текста: | 01.01.2026 |
| Дата актуализации описания: | 01.07.2023 |
| Дата издания: | 01.05.2000 |
| Дата введения: | 01.01.1975 |
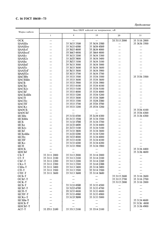
| Код ОКП: | 353100;353500;353600 |
| Взамен: | ГОСТ 340-59; ГОСТ 6515-55 |
| Нормативные ссылки: | IEC 60055-1(1978);IEC 60055-2(1981); ГОСТ 12.2.007.14-75; ГОСТ 20.57.406-81; ГОСТ 1292-81; ГОСТ 1497-84; ГОСТ 1770-74; ГОСТ 2990-78; ГОСТ 3345-76; ГОСТ 7006-72; ГОСТ 7229-76; ГОСТ 10751-85; ГОСТ 12176-89; ГОСТ 12177-79; ГОСТ 12179-76; ГОСТ 13843-78; ГОСТ 15150-69; ГОСТ 18690-82; ГОСТ 22483-77; ГОСТ 24641-81;ТУ 6.01-1328-86;ТУ 6-48-23-89;ТУ 16.К71-087-90;ТУ 16.К71-088-90;ТУ 17-05.021-90;ТУ 17-14-255-90 |
| Область применения: | Настоящий стандарт распространяется на силовые кабели с алюминиевыми и медными жилами с бумажной изоляцией, пропитанной вязким или нестекающим составом, в алюминиевой или свинцовой оболочке, с защитными покровами или без них, предназначенные для передачи и распределения электрической энергии в стационарных установках в электрических сетях на напряжение до 35 кВ переменного тока частотой 50 Гц. Кабели могут быть использованы в электрических сетях постоянного тока |
| Список изменений: | №0 от 09.01.2002 (рег. 09.01.2002) «Дата введения перенесена» №1 от 01.12.1978 (рег. 23.06.1978) «Срок действия продлен» №2 от 01.04.1980 (рег. 07.12.1979) «Срок действия продлен» №3 от 01.04.1985 (рег. 27.11.1984) «Срок действия продлен» №4 от 01.01.1988 (рег. 21.06.1987) «Срок действия продлен» №5 от 01.07.1996 (рег. 16.04.1996) «Срок действия продлен» |
| Приложение №1: | Поправка к ГОСТ 18410-73 |
| Приложение №2: | Поправка к ГОСТ 18410-73 |


























| Обозначение: | Поправка к ГОСТ 18410-73 |
| Дата введения: | 09.01.2002 |

| Обозначение: | Поправка к ГОСТ 18410-73 |
| Дата введения: | 22.05.2025 |
