| Обозначение: |  ГОСТ 8995-75 |
| Статус: | действующий |
| Название рус.: | Подшипники шариковые радиально-упорные однорядные с одним разъемным кольцом. Типы и основные размеры |
| Название англ.: | Single row angular contact ball bearings with one split inner ring. Types and boundary dimensions |
| Дата актуализации текста: | 06.04.2015 |
| Дата актуализации описания: | 01.01.2026 |
| Дата издания: | 01.08.1984 |
| Дата введения: | 01.07.1976 |
| Код ОКП: | 461500 |
| Взамен: | ГОСТ 8995-59 |
| Заменяющий: | ГОСТ 8995-2025 |
| Содержит требования: | СТ СЭВ 4943-84 |
| Нормативные ссылки: | ГОСТ 3325-55 |
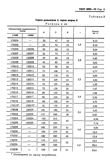
| Область применения: | Настоящий стандарт распространяется на однорядные радиально-упорные шариковые подшипники с разъемным внутренним кольцом, предназначенные для восприятия комбинированных (радиальных и осевых) нагрузок переменного направления |
| Список изменений: | №1 от 01.07.1985 (рег. 25.09.1984) «Срок действия продлен» №2 от 01.07.1986 (рег. 20.08.1985) «Срок действия продлен» |
|