| Обозначение: |  ГОСТ 20695-75 |
| Статус: | действующий |
| Название рус.: | Сверла спиральные с цилиндрическим хвостовиком для труднообрабатываемых материалов. Средняя серия. Конструкция и размеры |
| Название англ.: | Twist drills with straight shanks for hard to machine materials. Middle series. Construction and dimensions |
| Дата актуализации текста: | 06.04.2015 |
| Дата актуализации описания: | 01.07.2023 |
| Дата издания: | 01.08.2003 |
| Дата введения: | 01.01.1977 |
| Код ОКП: | 391210 |
| Нормативные ссылки: | ГОСТ 14034-74; ГОСТ 20694-75; ГОСТ 20698-75 |
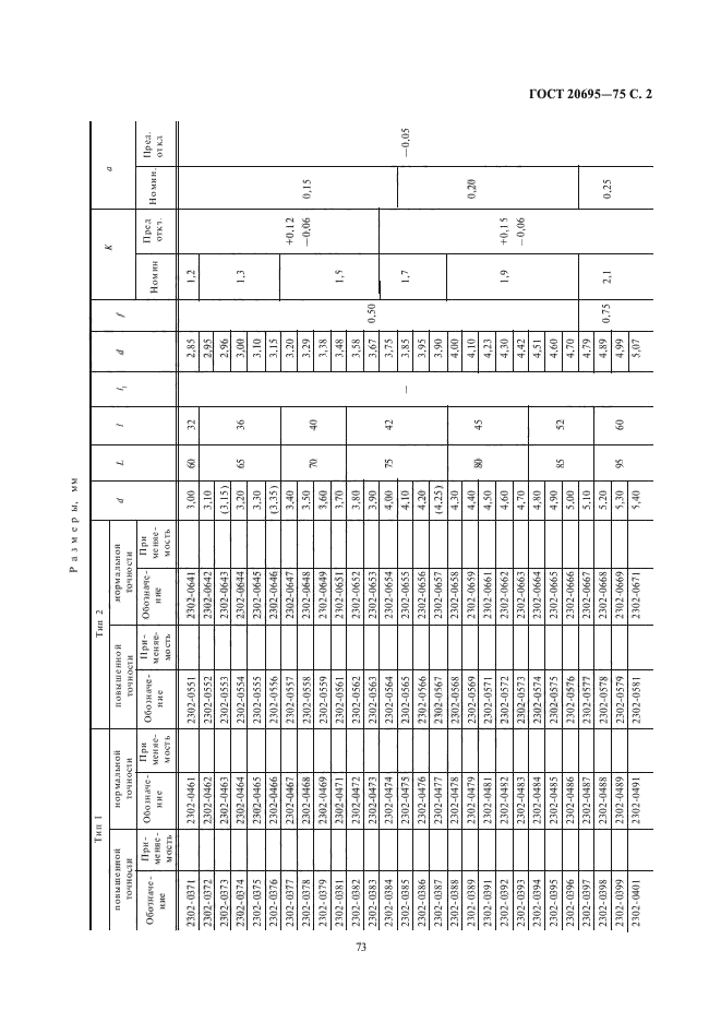
| Область применения: | Настоящий стандарт распространяется на спиральные сверла из быстрорежущей стали диаметром от 3 до 10 мм для сверления отверстий в труднообрабатываемых материалах |
| Список изменений: | №1 от 01.01.1983 (рег. 26.08.1982) «Срок действия продлен» |
|