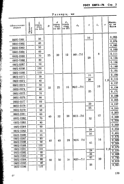
| Обозначение: |  ГОСТ 22073-76 |
| Статус: | действующий |
| Название рус.: | Втулки направляющие пресс-форм для литья термопластов под давлением. Конструкция и размеры |
| Название англ.: | Guide bushings of injection moulds. Design and dimensions |
| Дата актуализации текста: | 06.04.2015 |
| Дата актуализации описания: | 01.07.2023 |
| Дата издания: | 01.10.1986 |
| Дата введения: | 01.07.1977 |
| Код ОКП: | 396370 |
| Нормативные ссылки: | ГОСТ 1050-74; ГОСТ 9150-81; ГОСТ 16093-81; ГОСТ 22082-76; ГОСТ 24705-81 |
| Область применения: | Настоящий стандарт устанавливает конструкцию и размеры направляющих втулок |
| Список изменений: | №1 от 30.09.1982 (рег. 27.05.1982) «Срок действия продлен» |
|