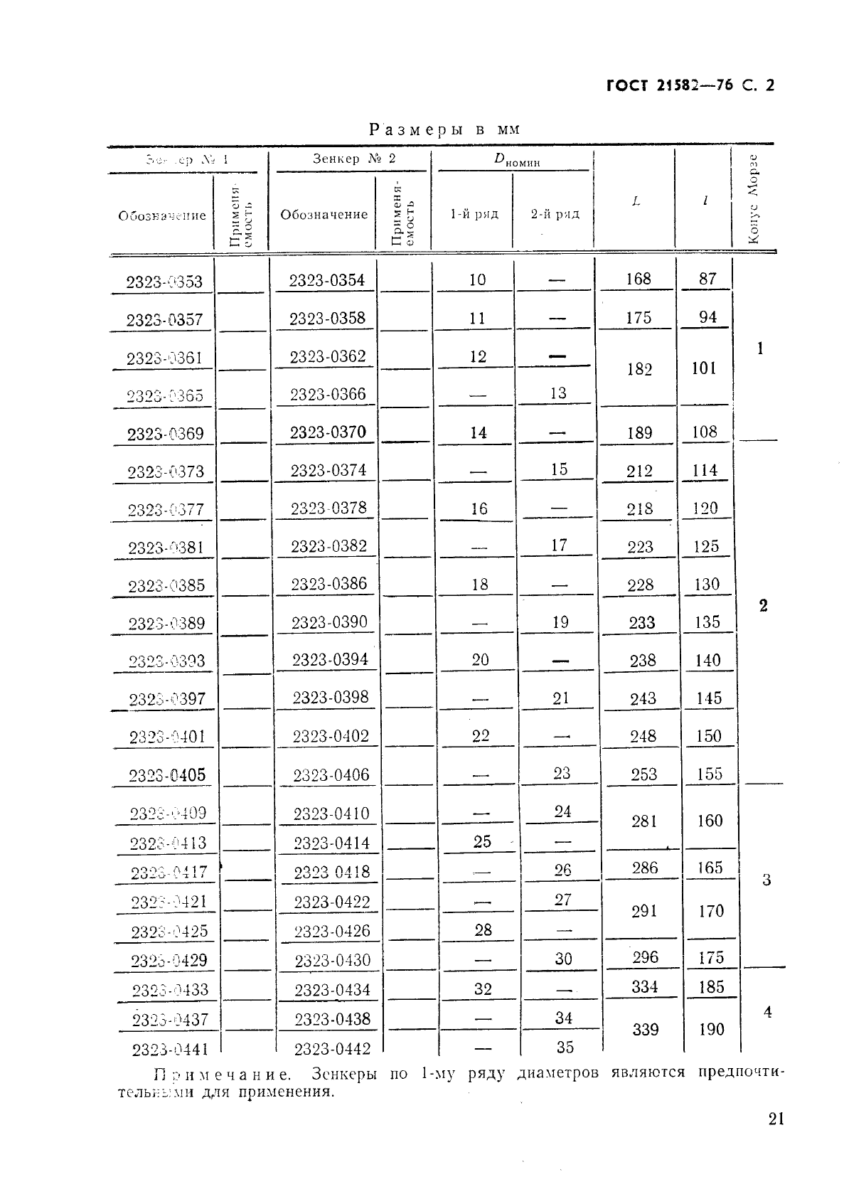
| Обозначение: |  ГОСТ 21582-76 |
| Статус: | действующий |
| Название рус.: | Зенкеры торцовые с коническим хвостовиком для обработки деталей из легких сплавов. Конструкция и размеры |
| Название англ.: | End countersinks with taper chucking for machining parts from light alloys. Design and dimensions |
| Дата актуализации текста: | 06.04.2015 |
| Дата актуализации описания: | 01.07.2023 |
| Дата издания: | 01.05.1990 |
| Дата введения: | 01.01.1977 |
| Код ОКП: | 391600 |
| Взамен: | МН 328-60 |
| Нормативные ссылки: | ГОСТ 2847-67; ГОСТ 14034-74; ГОСТ 21581-76; ГОСТ 21586-76; ГОСТ 21587-76 |
| Область применения: | Настоящий стандарт распространяется на цельные торцовые зенкеры с коническим хвостовиком, предназначенные для предварительной (зенкер № 1) и окончательной обработки отверстий по А4 (зенкер № 2) в деталях из легких сплавов |
|