| Обозначение: |  ГОСТ 22043-76 |
| Статус: | действующий |
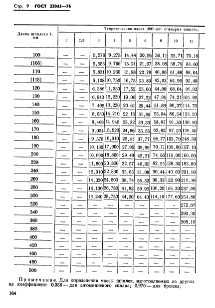
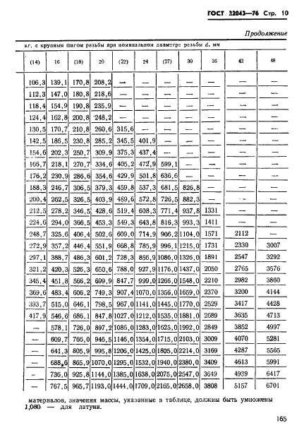
| Название рус.: | Шпильки для деталей с гладкими отверстиями. Класса точности А. Конструкция и размеры |
| Название англ.: | Studs for smooth hole parts. Product grade A. Construction and dimensions |
| Дата актуализации текста: | 06.04.2015 |
| Дата актуализации описания: | 01.07.2023 |
| Дата издания: | 01.09.1983 |
| Дата введения: | 01.07.1978 |
| Код ОКП: | 128000 |
| Взамен: | ГОСТ 11770-66 |
| Нормативные ссылки: | ГОСТ 1759.0-87; ГОСТ 1759.1-82; ГОСТ 1759.2-82; ГОСТ 24705-81; ГОСТ 27148-86 |
| Область применения: | Настоящий стандарт распространяется на шпильки с двумя одинаковыми по длине резьбовыми концами с диаметром резьбы от 2 до 48 мм |
| Список изменений: | №1 от 01.01.1979 (рег. 07.12.1978) «Срок действия продлен» №2 от 01.01.1984 (рег. 13.04.1983) «Срок действия продлен» №3 от 01.01.1989 (рег. 27.04.1988) «Срок действия продлен» |
|