| Обозначение: |  ГОСТ 21586-76 |
| Статус: | действующий |
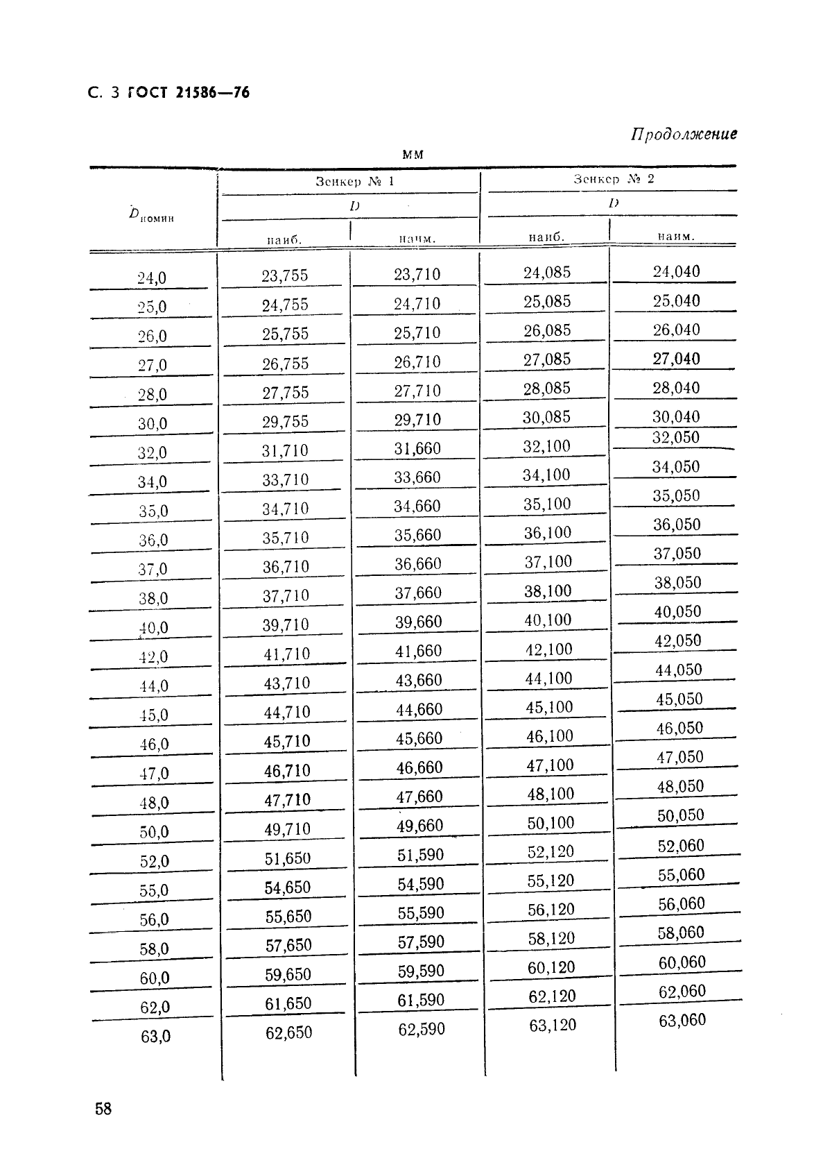
| Название рус.: | Зенкеры для обработки отверстий диаметром от 3 до 80 мм в деталях из легких сплавов. Допуски на диаметр |
| Название англ.: | Countersinks for machining holes diameters from 3 to 80 mm. Hole tolerance |
| Дата актуализации текста: | 06.04.2015 |
| Дата актуализации описания: | 01.01.2021 |
| Дата издания: | 01.05.1990 |
| Дата введения: | 01.01.1977 |
| Код ОКП: | 391600 |
| Взамен: | МН 324-60 |
| Область применения: | Настоящий стандарт устанавливает допуски на диаметры зенкеров |
|