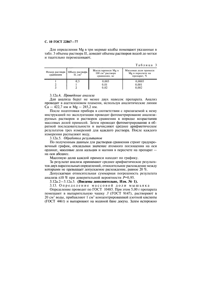
| Обозначение: |  ГОСТ 22867-77 |
| Статус: | действующий |
| Название рус.: | Реактивы. Аммоний азотнокислый. Технические условия |
| Название англ.: | Reagents. Ammonium nitrate. Specifications |
| Дата актуализации текста: | 06.04.2015 |
| Дата актуализации описания: | 01.07.2023 |
| Дата издания: | 01.04.1997 |
| Дата введения: | 01.01.1979 |
| Код ОКП: | 262116 |
| Взамен: | ГОСТ 5.1624-72 |
| Нормативные ссылки: | ISO 6353-1:1982;ISO 6353-3:1987; ГОСТ 83-79; ГОСТ 1625-89; ГОСТ 1770-74; ГОСТ 3118-77; ГОСТ 3885-73; ГОСТ 4212-76; ГОСТ 4328-77; ГОСТ 4461-77; ГОСТ 4517-87; ГОСТ 4919.1-77; ГОСТ 5457-75; ГОСТ 6709-72; ГОСТ 9147-80; ГОСТ 10485-75; ГОСТ 10555-75; ГОСТ 10671.3-74; ГОСТ 10671.5-74; ГОСТ 10671.6-74; ГОСТ 10671.7-74; ГОСТ 14192-96; ГОСТ 17319-76; ГОСТ 18300-87; ГОСТ 19433-88; ГОСТ 24104-88; ГОСТ 25336-82; ГОСТ 25794.1-83; ГОСТ 27025-86; ГОСТ 27184-86 |
| Область применения: | Настоящий стандарт распространяется на азотнокислый аммоний, представляющий собой кристаллический порошок, хорошо растворимый в воде и спирте; гигроскопичен, способен слеживаться |
| Список изменений: | №1 от 01.01.1989 (рег. 22.06.1988) «Срок действия продлен» №2 от 01.01.1994 (рег. 17.05.1993) «Срок действия продлен» |
|