| Обозначение: |  ГОСТ 22843-77 |
| Статус: | действующий |
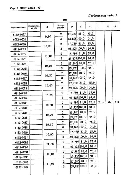
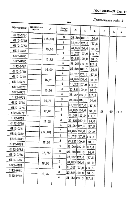
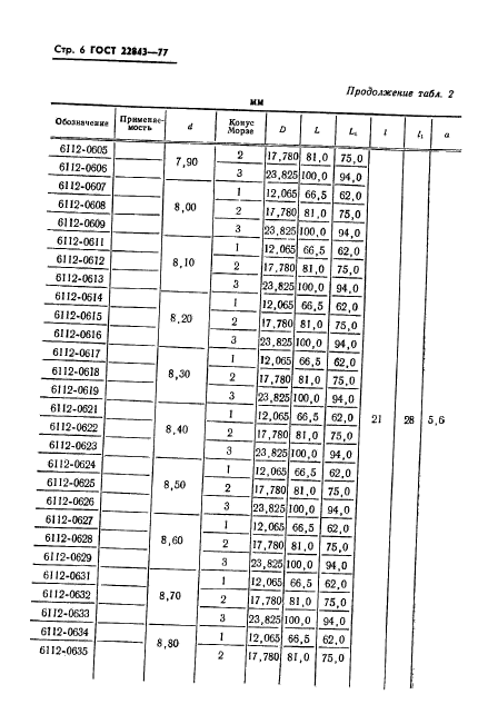
| Название рус.: | Втулки разрезные для инструмента с цилиндрическим хвостовиком. Конструкция и размеры |
| Название англ.: | Cutting sleeves for tools with cylindrical sank. Design and dimensions |
| Дата актуализации текста: | 06.04.2015 |
| Дата актуализации описания: | 01.07.2023 |
| Дата издания: | 23.02.1978 |
| Дата введения: | 01.01.1979 |
| Код ОКП: | 392830 |
| Взамен: | МН 1172-65 |
| Нормативные ссылки: | ГОСТ 1050-74; ГОСТ 17166-71;СТ СЭВ 147-75;СТ СЭВ 198-75 |
| Область применения: | Настоящий стандарт распространяется на разрезные втулки для инструмента с цилиндрическим хвостовиком без поводка диаметром от 1 до 3 мм и с поводком диаметром свыше 3 мм |
| Список изменений: | №1 от 30.04.1983 (рег. 20.12.1982) «Срок действия продлен» |
|