| Обозначение: |  ГОСТ 17678-80 |
| Статус: | действующий |
| Название рус.: | Скобы облегченные для крепления трубопроводов и кабелей. Конструкция и размеры |
| Название англ.: | Light cramps for pipe-line and cable fixing. Design and dimensions |
| Дата актуализации текста: | 06.04.2015 |
| Дата актуализации описания: | 01.07.2023 |
| Дата издания: | 01.06.1992 |
| Дата введения: | 01.01.1981 |
| Код ОКП: | 169000 |
| Взамен: | ГОСТ 16685-71; ГОСТ 16687-71; ГОСТ 17678-72 |
| Нормативные ссылки: | ГОСТ 2284-79; ГОСТ 4986-79; ГОСТ 10589-87; ГОСТ 16338-85; ГОСТ 16523-89; ГОСТ 17019-78; ГОСТ 19904-90; ГОСТ 21631-76 |
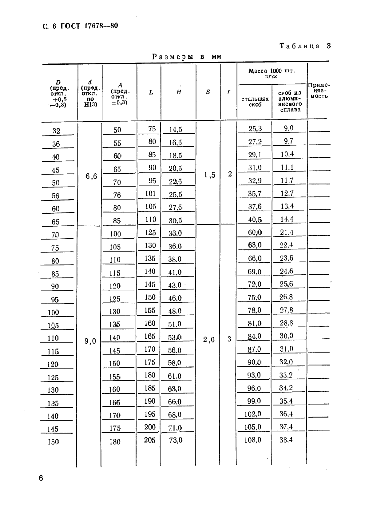
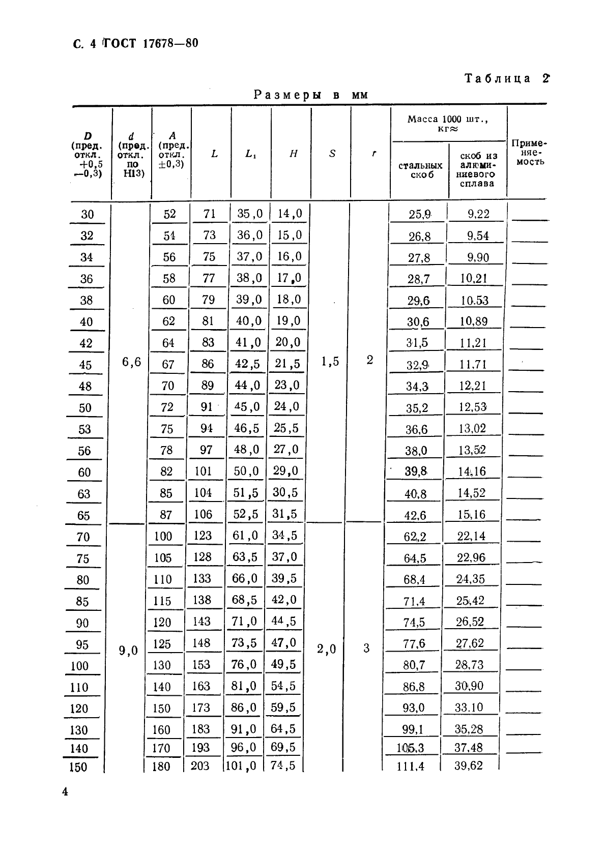
| Область применения: | Настоящий стандарт устанавливает конструкцию и размеры скоб облегченных для крепления трубопроводов и кабелей |
| Список изменений: | №1 от 01.01.1986 (рег. 24.06.1985) «Срок действия продлен» №2 от 01.07.1989 (рег. 25.12.1988) «Срок действия продлен» |
|