Скачать ГОСТ 12820-80 Фланцы стальные плоские приварные на Ру от 0,1 до 2,5 МПа (от 1 до 25 кгс/см кв.). Конструкция и размерыДата актуализации: 01.06.2025 ГОСТ 12820-80
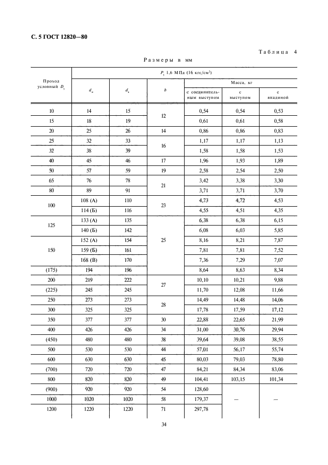
Фланцы стальные плоские приварные на Ру от 0,1 до 2,5 МПа (от 1 до 25 кгс/см кв.). Конструкция и размеры
| Обозначение: |  ГОСТ 12820-80 |
| Статус: | заменён |
| Название рус.: | Фланцы стальные плоские приварные на Ру от 0,1 до 2,5 МПа (от 1 до 25 кгс/см кв.). Конструкция и размеры | | Название англ.: | Steel plane welded flanges for Pnom from 0,1 to 2,5 MPa (from 1to 25 kgf/sq sm). Design and dimensions | | Дата актуализации текста: | 06.04.2015 | | Дата актуализации описания: | 01.07.2023 | | Дата издания: | 01.07.2003 | | Дата введения: | 01.01.1983 | | Дата окончания срока действия: | 01.04.2017 | | Код ОКП: | 379941 | | Взамен: | ГОСТ 1255-67; ГОСТ 9938-62; ГОСТ 12827-67; ГОСТ 12828-67 | | Заменяющий: | ГОСТ 33259-2015 | | Нормативные ссылки: | ГОСТ 7505-89; ГОСТ 12815-80; ГОСТ 12816-80 | | Область применения: | Настоящий стандарт распространяется на стальные плоские приварные фланцы трубопроводов и соединительных частей, а также на присоединительные фланцы арматуры, соединительных частей машин, приборов, патрубков аппаратов и резервуаров на условное давление Py от 0,1 до 2,5 МПа (от 1 до 25 кгс/см кв.) и температуру от 203 до 573 К (от минус 70 до плюс 300 град. С) | | Список изменений: | №0 от 31.03.2016 (рег. 01.03.2016) «Восстановлен на территории РФ» №0 от 31.03.2017 (рег. 01.03.2016) «Поправка к изменению» №1 от 01.07.1983 (рег. 11.03.1983) «Срок действия продлен» №2 от 01.07.1988 (рег. 25.12.1987) «Срок действия продлен» №3 от 01.04.1990 (рег. 07.09.1989) «Срок действия продлен» №4 от 01.10.1992 (рег. 14.04.1992) «Срок действия продлен» | |
         
|