| Обозначение: |  ГОСТ 24950-81 |
| Статус: | заменён |
| Название рус.: | Отводы гнутые и вставки кривые на поворотах линейной части стальных магистральных трубопроводов. Технические условия |
| Название англ.: | Bent branches and elbows at line bends for transmission steel pipelines. Specifications |
| Дата актуализации текста: | 06.04.2015 |
| Дата актуализации описания: | 01.07.2023 |
| Дата издания: | 01.04.2003 |
| Дата введения: | 01.07.1982 |
| Дата окончания срока действия: | 01.09.2019 |
| Код ОКП: | 112001 |
| Заменяющий: | ГОСТ 24950-2019 |
| Нормативные ссылки: | ГОСТ 12.3.009-76; ГОСТ 427-75; ГОСТ 7502-98; ГОСТ 8733-74; ГОСТ 16037-80; ГОСТ 18353-79; ГОСТ 20295-85;СНиП III-42-80;ТУ 3-3.179-81 |
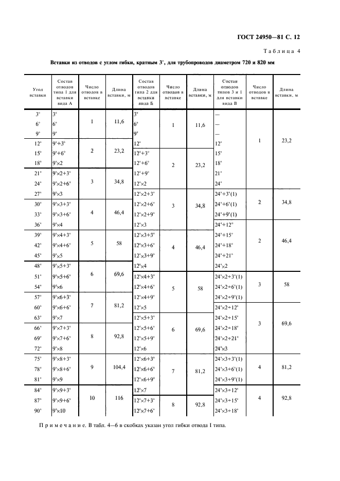
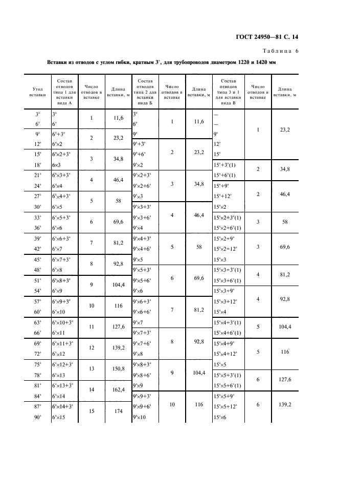
| Область применения: | Настоящий стандарт распространяется на гнутые отводы и кривые вставки, предназначенные для выполнения поворотов в вертикальной или горизонтальной плоскости линейной части стальных магистральных трубопроводов и ответвлений от них, изготовляемые на трубогибочном оборудовании способом поперечной гибки труб в холодном состоянии |
|