| Обозначение: |  ГОСТ 24706-81 |
| Статус: | действующий |
| Название рус.: | Основные нормы взаимозаменяемости. Резьба метрическая для приборостроения. Основные размеры |
| Название англ.: | Basic norms of interchangeability. Metric thread for instrument-making industry. Basic dimensions |
| Дата актуализации текста: | 01.01.2023 |
| Дата актуализации описания: | 01.07.2023 |
| Дата издания: | 01.01.2003 |
| Дата введения: | 01.01.1982 |
| Взамен в части: | ГОСТ 16967-71 в части основных размеров |
| Содержит требования: | СТ СЭВ 184-75 |
| Нормативные ссылки: | ГОСТ 9150-81; ГОСТ 16967-81 |
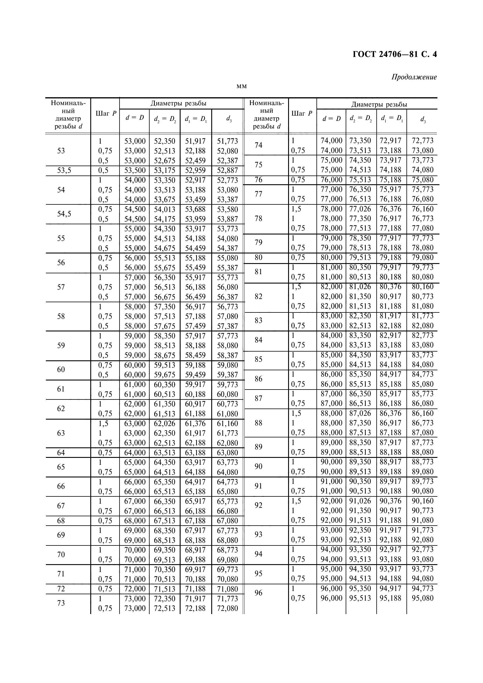
| Область применения: | Настоящий стандарт распространяется на метрические резьбы для приборостроения с профилем по ГОСТ 9150-81, диаметрами и шагами по ГОСТ 16967-81 |
| Приложение №1: | Поправка к ГОСТ 24706-81 |
|