Скачать ГОСТ 24829-81 Пакеты трехкассетных пресс-форм для изготовления резиновых уплотнительных манжет. Конструкция и размерыДата актуализации: 01.06.2025 ГОСТ 24829-81
Пакеты трехкассетных пресс-форм для изготовления резиновых уплотнительных манжет. Конструкция и размеры
| Обозначение: |  ГОСТ 24829-81 |
| Статус: | действующий |
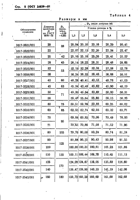
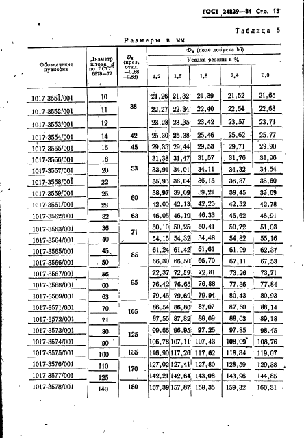
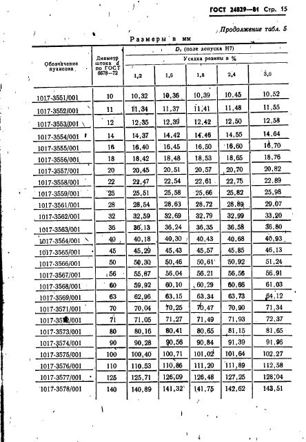
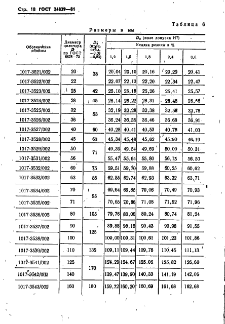
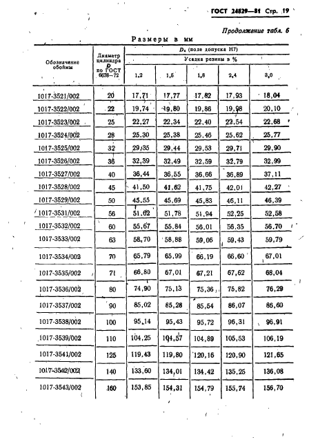
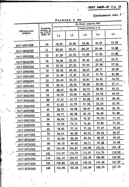
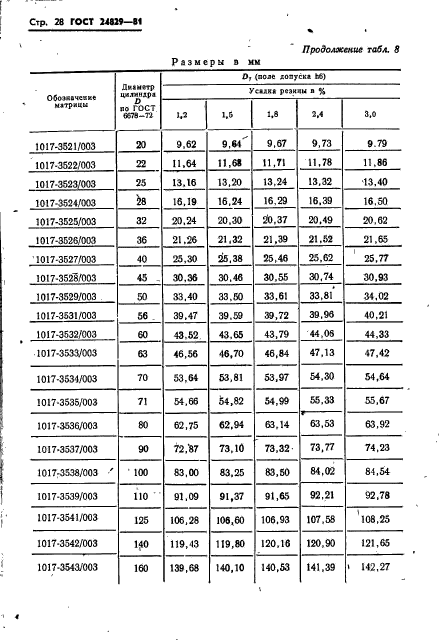
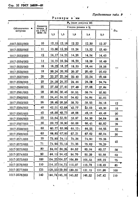
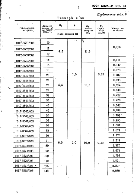
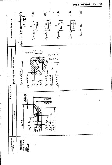
| Название рус.: | Пакеты трехкассетных пресс-форм для изготовления резиновых уплотнительных манжет. Конструкция и размеры | | Название англ.: | The sets of three casette press moulds for manufacturing of rubber sealing cups. Design and dimensions | | Дата актуализации текста: | 06.04.2015 | | Дата актуализации описания: | 01.07.2023 | | Дата издания: | 16.09.1981 | | Дата введения: | 01.07.1982 | | Код ОКП: | 396381 | | Нормативные ссылки: | ГОСТ 9.073-77; ГОСТ 26.020-80; ГОСТ 4543-71; ГОСТ 6678-72; ГОСТ 14901-79; ГОСТ 24318-80; ГОСТ 24513-80; ГОСТ 24643-81 | | Область применения: | Настоящий стандарт распространяется на пакеты с исполнительными размерами формообразующих полостей, рассчитанных с учетом усадки резины 1,2, 1,5, 1,8, 2,4, 3,0 %, устанавливаемые в блоки трехкассетных пресс-форм по ГОСТ 24318-80 для изготовления резиновых манжет типов 1 и 2 по ГОСТ 6678-72 с внутренним диаметром не менее 9,5 мм и наружным диаметром не более 159 мм | |
                                            
|