| Обозначение: |  ГОСТ 16775-93 |
| Статус: | действующий |
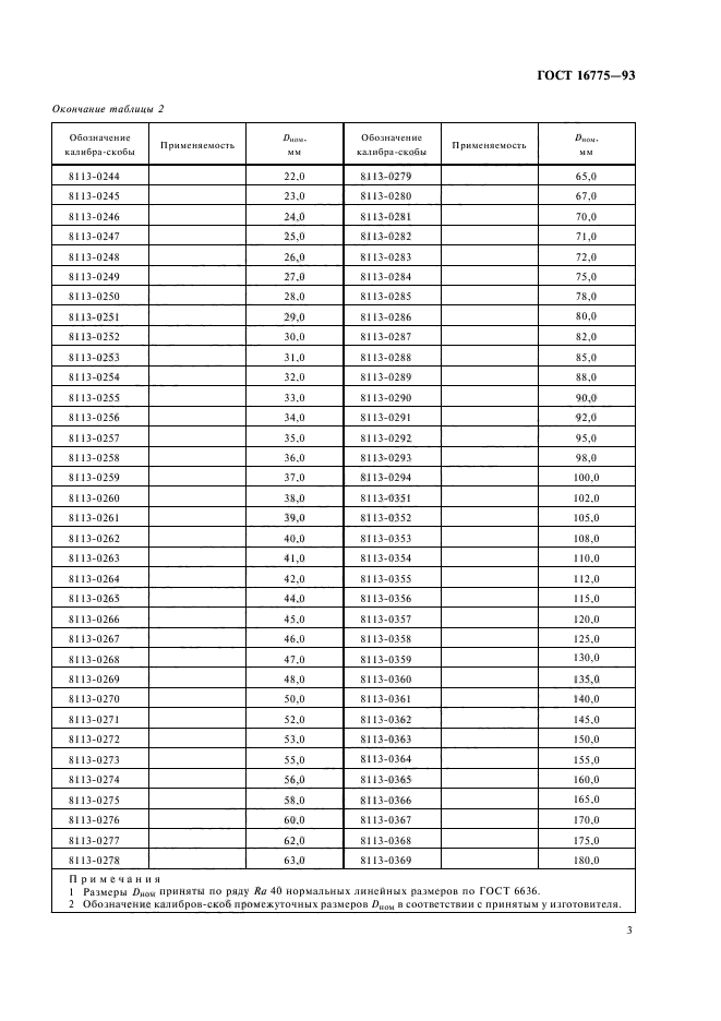
| Название рус.: | Калибры-скобы гладкие, оснащенные твердым сплавом, для диаметров от 3 до 180 мм. Размеры |
| Название англ.: | Plain snap gauges with cemented carbide alloy plates for diameters from 3 to 180 mm. Dimensions |
| Дата актуализации текста: | 01.01.2026 |
| Дата актуализации описания: | 01.07.2023 |
| Дата регистрации: | 21.10.1993 |
| Дата издания: | 01.01.2008 |
| Дата введения: | 01.01.1995 |
| Код ОКП: | 393122 |
| Взамен: | ГОСТ 16775-71; ГОСТ 16776-71; ГОСТ 16777-71 |
| Нормативные ссылки: | ГОСТ 380-2005; ГОСТ 859-2001; ГОСТ 1050-88; ГОСТ 2015-84; ГОСТ 6636-69; ГОСТ 12034-77; ГОСТ 15527-2004; ГОСТ 18369-73; ГОСТ 21125-75; ГОСТ 21401-75;ОСТ 1203;ОСТ 1205;ОСТ 1208;ОСТ 1209;ОСТ 1219;ОСТ 1220 |
| Область применения: | Настоящий стандарт распространяется на гладкие калибры-скобы с пластинами из твердого сплава для контроля валов диаметрами от 3 до 180 мм с допусками по ЕСДП от 6-го до 12-го квалитета и допусками по системе ОСТ от 2-го до 5-го класса точности |
| Приложение №1: | Поправка к ГОСТ 16775-93 |
|