| Обозначение: |  ГОСТ 24705-2004 |
| Статус: | действующий |
| Название рус.: | Основные нормы взаимозаменяемости.Резьба метрическая. Основные размеры |
| Название англ.: | Вasic norms of interchangeability. Metric screw thread. Basic dimensions |
| Дата актуализации текста: | 06.04.2015 |
| Дата актуализации описания: | 01.07.2023 |
| Дата регистрации: | 26.05.2004 |
| Дата издания: | 01.06.2008 |
| Дата введения: | 01.07.2005 |
| Взамен: | ГОСТ 24705-81 |
| Содержит требования: | ISO 724:1993 |
| Нормативные ссылки: | ГОСТ 8724-2002; ГОСТ 9150-2002; ГОСТ 11708-82; ГОСТ 16093-2004 |
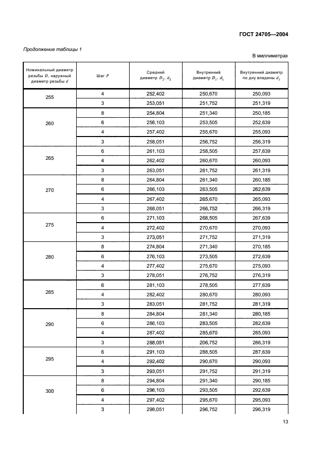
| Область применения: | Настоящий стандарт распространяется на метрические резьбы общего назначения с профилем по ГОСТ 9150, диаметрами и шагами по ГОСТ 8724 |
|