Скачать ГОСТ 8639-82 Трубы стальные квадратные. СортаментДата актуализации: 01.06.2025
| ||||||||||||||||||||||||||||||||||
| Обозначение: | ![]() ГОСТ 8639-82 |
| Статус: | действующий |
| Название рус.: | Трубы стальные квадратные. Сортамент |
| Название англ.: | Square steel tubes. Range |
| Дата актуализации текста: | 06.04.2015 |
| Дата актуализации описания: | 01.01.2021 |
| Дата издания: | 01.12.2005 |
| Дата введения: | 01.01.1983 |
| Код ОКП: | 131900;134400;135100;137300 |
| Взамен: | ГОСТ 8639-68 |
| Нормативные ссылки: | ГОСТ 13663-86 |
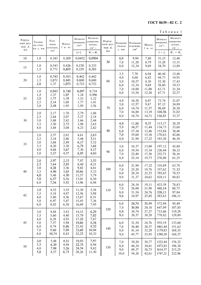
| Область применения: | Настоящий стандарт распространяется на стальные бесшовные горячедеформированные и холоднодеформированные, электросварные и электросварные холоднодеформированные трубы |
| Список изменений: | №1 от 01.02.1988 (рег. 23.06.1987) «Срок действия продлен» №2 от 01.04.1990 (рег. 17.11.1989) «Срок действия продлен» №3 от 01.02.1993 (рег. 06.09.1992) «Срок действия продлен» №4 от 31.08.2010 (рег. 16.06.2010) «Срок действия продлен» |
| Приложение №1: | Изменение №4 к ГОСТ 8639-82 |












| Обозначение: | Изменение №4 к ГОСТ 8639-82 |
| Дата введения: | 01.09.2010 |




