| Обозначение: |  ГОСТ 23769-79 |
| Статус: | действующий |
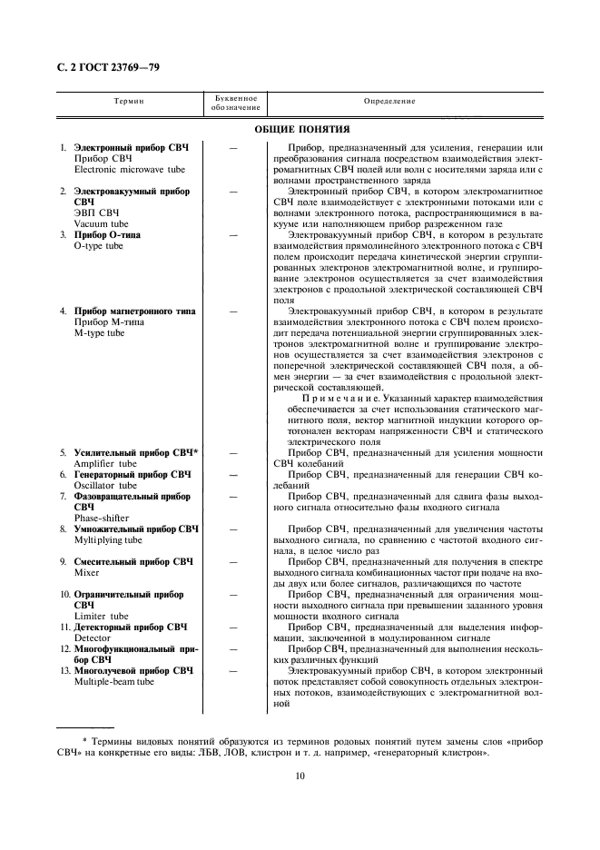
| Название рус.: | Приборы электронные и устройства защитные СВЧ. Термины, определения и буквенные обозначения |
| Название англ.: | Electronic tubes and microwave protection devices. Terms, definitions and letter symbols |
| Дата актуализации текста: | 06.04.2015 |
| Дата актуализации описания: | 01.07.2023 |
| Дата издания: | 01.06.2005 |
| Дата введения: | 01.01.1981 |
| Взамен: | ГОСТ 15808-70; ГОСТ 16393-70; ГОСТ 17104-71; ГОСТ 18050.5-73; ГОСТ 20396-74; ГОСТ 20411-75; ГОСТ 20567-75 |
| Область применения: | Настоящий стандарт устанавливает применяемые в науке, технике и производстве термины и определения электронных приборов СВЧ и СВЧ защитных устройств |
| Список изменений: | №1 от 01.01.1982 (рег. 29.06.1981) «Срок действия продлен» |
|