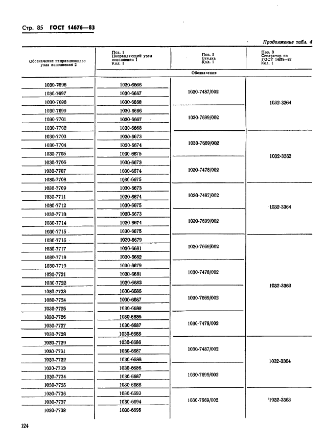
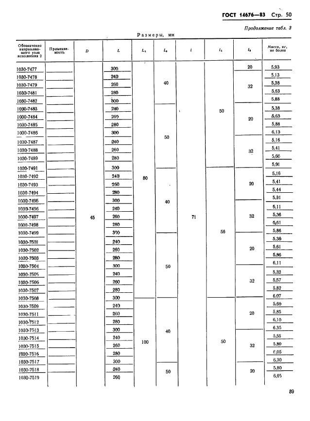
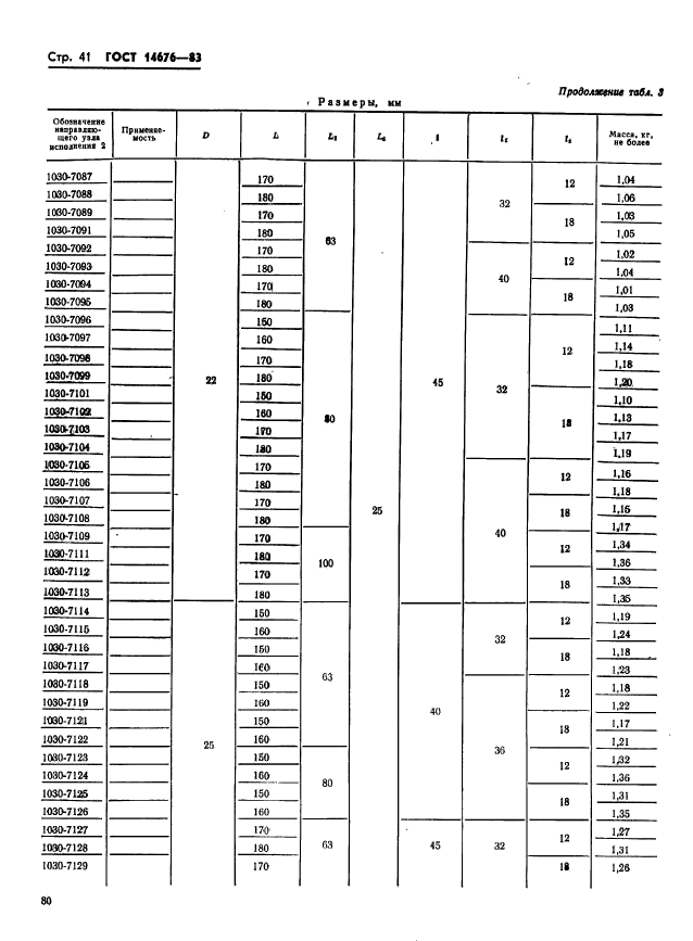
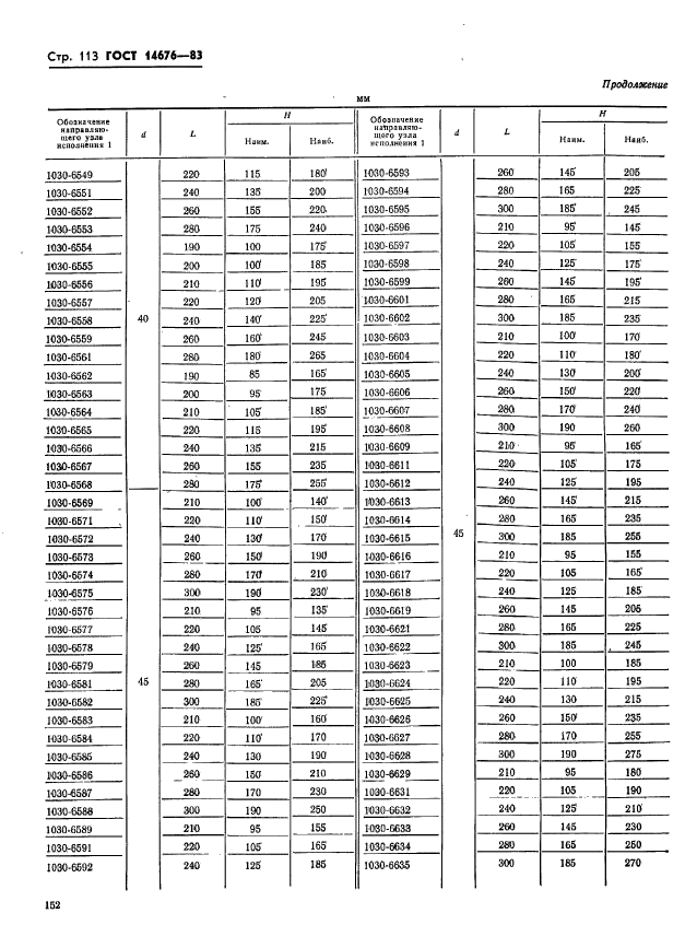
| Обозначение: |  ГОСТ 14676-83 |
| Статус: | действующий |
| Название рус.: | Штампы для листовой штамповки. Узлы направляющие шариковые для штампов. Конструкция и размеры |
| Название англ.: | Sheet stamping dies. Guide ball assemblies for dies. Design and dimensions |
| Дата актуализации текста: | 06.04.2015 |
| Дата актуализации описания: | 01.07.2023 |
| Дата издания: | 02.12.1983 |
| Дата введения: | 01.07.1984 |
| Код ОКП: | 396330 |
| Взамен: | ГОСТ 14676-80 |
| Содержит требования: | СТ СЭВ 3328-81 |
| Нормативные ссылки: | ГОСТ 14678-83; ГОСТ 13130-83; ГОСТ 801-78; ГОСТ 24643-81 |
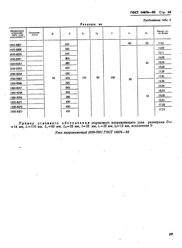
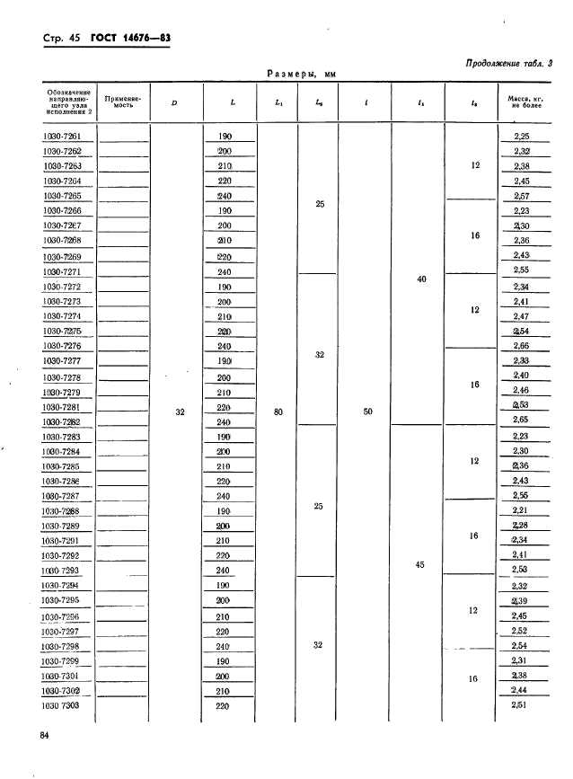
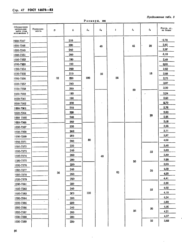
| Область применения: | Настоящий стандарт распространяется на шариковые направляющие узлы с подвижным сепаратором для штампов листовой штамповки |
|